Figure 3

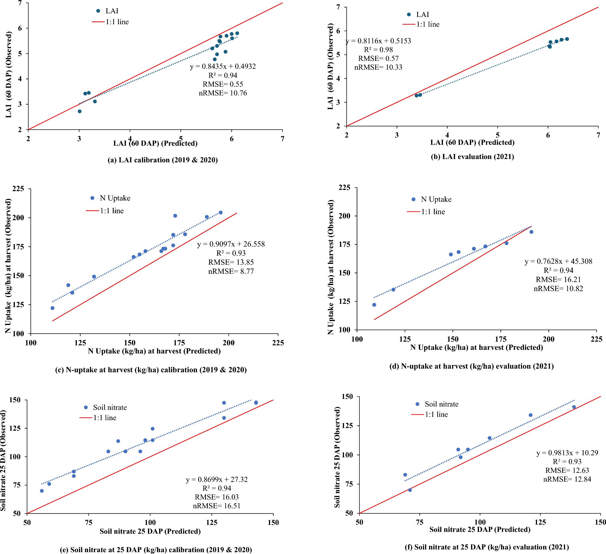
Observed vs. simulated phenological stages, LAI, (a and b), plant N-uptake (c and d) and soil NO3−-N (e and f) during 3 years of experimentation (2019–2021).

Observed vs. simulated phenological stages, LAI, (a and b), plant N-uptake (c and d) and soil NO3−-N (e and f) during 3 years of experimentation (2019–2021).