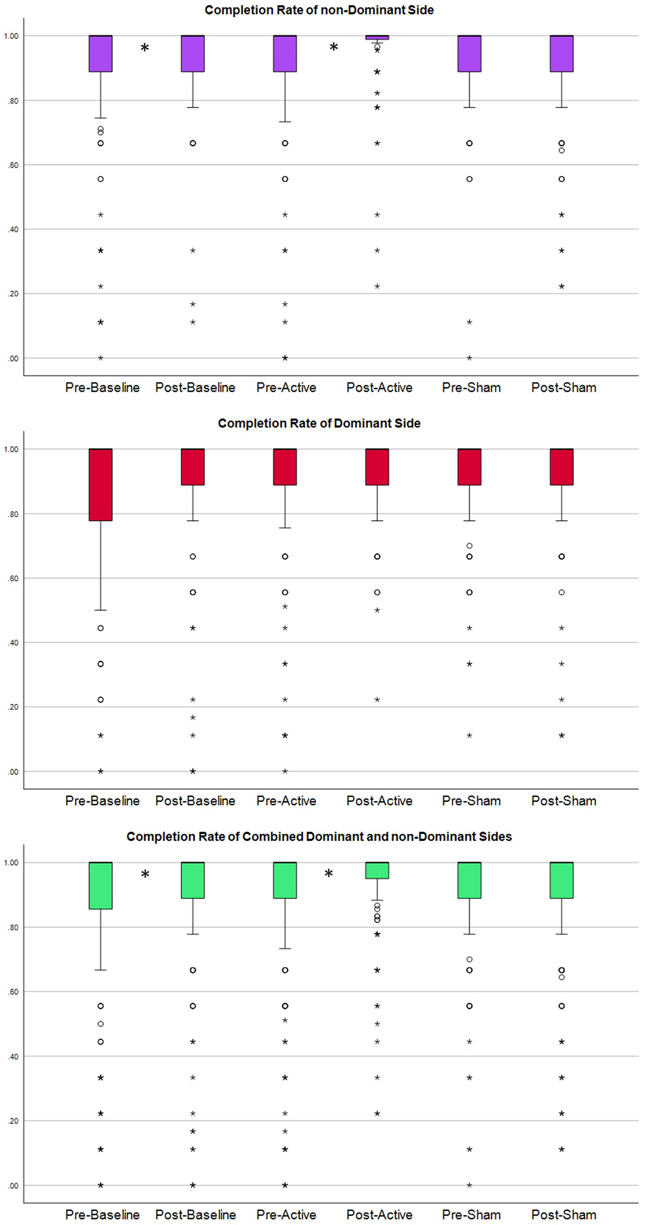
Figure 1
From: Performance in myoelectric pattern recognition improves with transcranial direct current stimulation

Displays the distribution of completion rate. Top: distribution of completion rate for combined movements of the ‘non-dominant side’. Middle and bottom plot: distributions of the completion rate for the ‘dominant sides’ and ‘combined dominant and non-dominant sides’, respectively. Columns 1 and 2 correspond to the baseline session without stimulation, before and after the break, respectively. Columns 3 and 4 represent the active tDCS session, column 3 depicting the completion rate before active stimulation and column 4 after. Columns 5 and 6 represent the sham tDCS session. An asterisk indicates a statistically significant difference between the two neighboring columns.