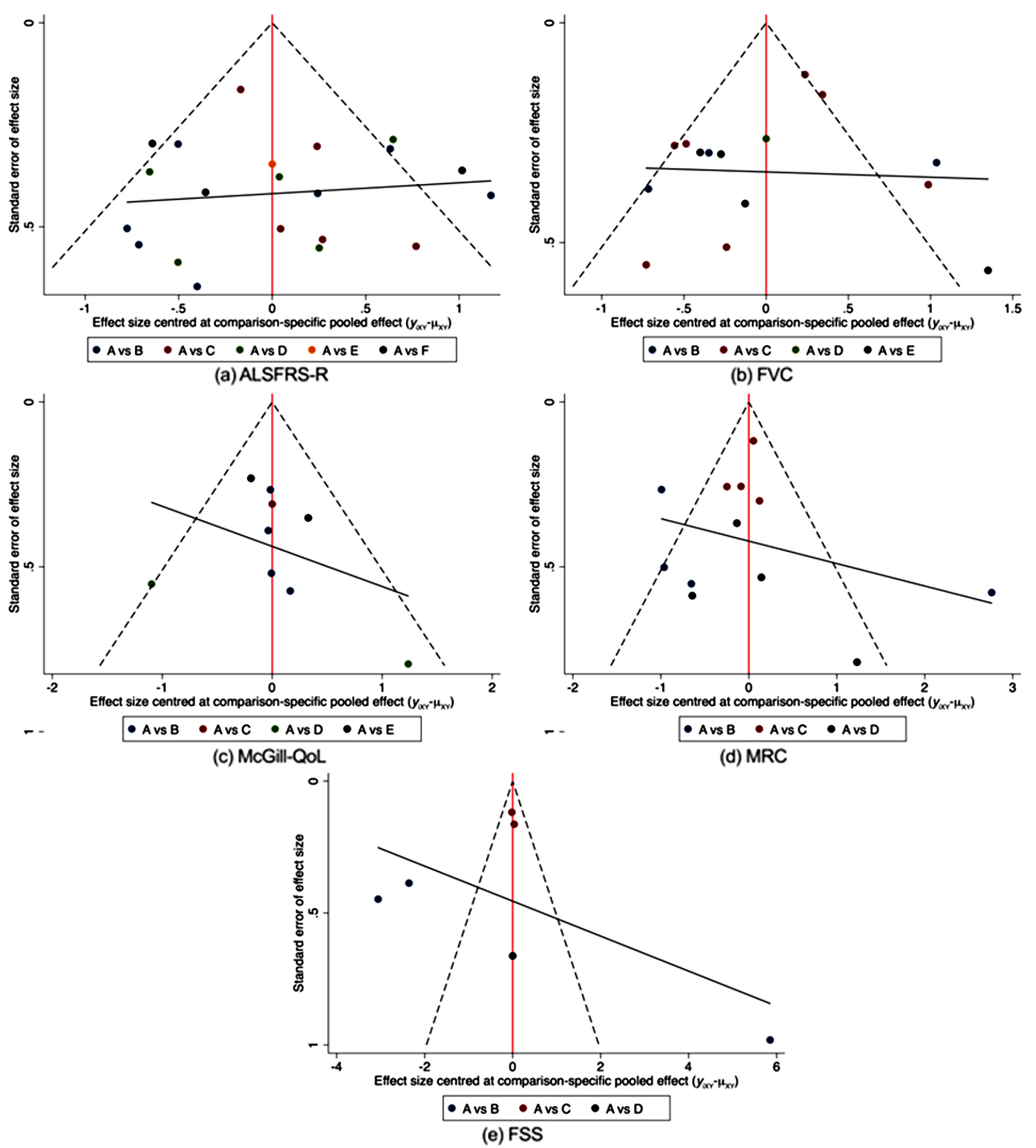
Figure 2

Funnel plot. ALSFRS-R Amyotrophic lateral sclerosis Functional Rating Scale-Revised, FVC Forced Vital Capacity, McGill-QoL McGill Quality of Life Questionnaire, MRC Medical Research Council, FSS Fatigue Severity Scale.

Funnel plot. ALSFRS-R Amyotrophic lateral sclerosis Functional Rating Scale-Revised, FVC Forced Vital Capacity, McGill-QoL McGill Quality of Life Questionnaire, MRC Medical Research Council, FSS Fatigue Severity Scale.