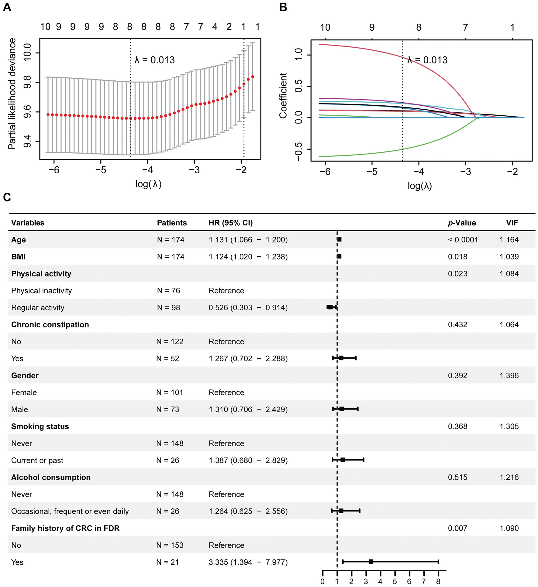
Figure 3

Variable selection through the LASSO-Cox regression for predicting risks of colorectal adenoma occurrence based on the primary cohort. (A) Tuning parameter (λ) selection of deviance in the LASSO regression analysis. The red dot denotes the CVM, and the gray line stands for the SE of CVM. (B) LASSO coefficient profiles of ten candidate variables. Each curve in different color signifies the trajectory of the coefficient of each variable. (C) A forest plot exhibiting results of the multivariate Cox-PH regression analysis. CVM: mean cross-validated error; SE: standard error; HR: hazard ratio; CI: confidence interval; VIF: variance inflation factor; BMI: body mass index; CRC: colorectal cancer; FDR: first-degree relatives.