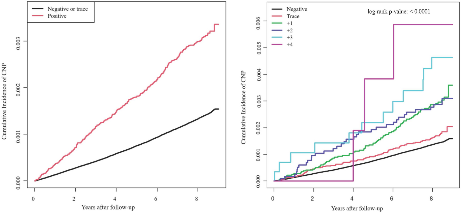
Figure 1
From: Proteinuria and risk of ocular motor cranial nerve palsy: a nationwide population-based study

Kaplan–Meier curves for ocular motor cranial nerve palsy (OCNP) incidence according to the degree of dipstick proteinuria. The incidence probability of OCNP according to the presence of proteinuria (Left) and levels of proteinuria (Right) are shown.