Figure 2
From: Urinary calprotectin as a diagnostic tool for detecting significant bacteriuria

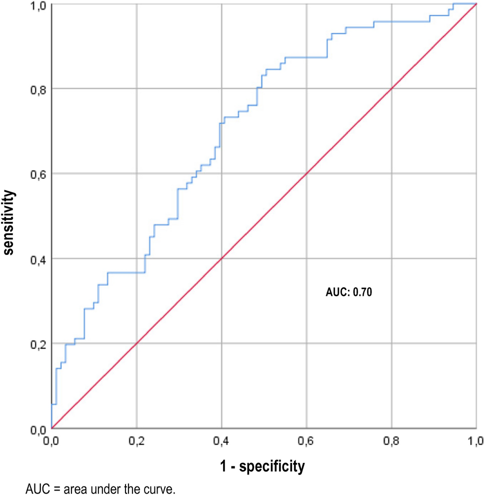
ROC curve of the calprotectin-creatinine quotient for the diagnosis of a UTI.
From: Urinary calprotectin as a diagnostic tool for detecting significant bacteriuria

ROC curve of the calprotectin-creatinine quotient for the diagnosis of a UTI.