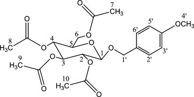
Table 1 1HNMR and IR identification of the synthesized MBGL.
Methods | Data | Structure |
|---|---|---|
1HNMR, δ in CDCl3) | 1.99–2.10 (12H, C-7, 8, 9, 10, CH3) | |
3.68 (1H, C-5, CH) | ||
3.80 (3H, C-4′, CH3) | ||
4.16–4.30 (2H, C-6, CH2) | ||
4.50–4.53 (1H, C-1, CH) | ||
4.56–4.83 (2H, C-1′, CH2) | ||
5.03–5.20 (3H, C-2, 3, 4, CH) | ||
6.80 (2H, C-3′, 5′, CH) | ||
7.40 (2H, C-2′, 6′, CH) | ||
IR/cm−1, (KBr micropellets) | 3013 (benzene ring, stretching vibration of C–H bond) | |
2945 (CH3, stretching vibration of C–H bond) | ||
1752 (stretching vibration of C=O bond) | ||
1499, 1453, 1428 (vibration of benzene ring) | ||
1150–1070 (stretching vibration of C–O–C bond) |
