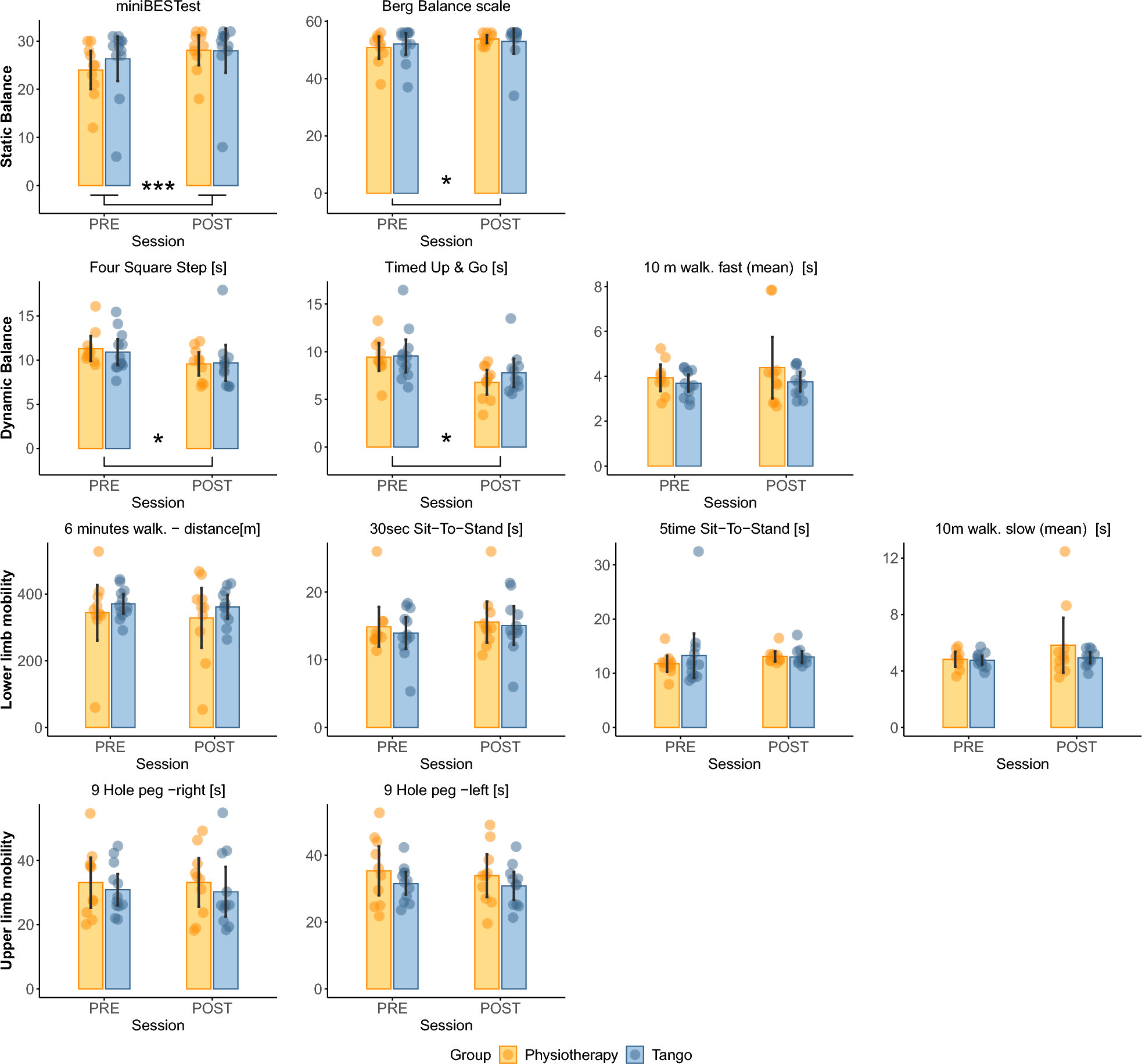
Figure 2

Motor Skills. Comparison between PRE and POST evaluation sessions are shown in different plots, pertaining to motor skills. Different motor domains are presented for each row of the panel: static balance, dynamic balance, lower limb mobility and upper limb mobility, respectively. Yellow represents the physiotherapy group (PG), blue represents the tango group (TG). * indicates a significant main effect of Session (p < 0.05); *** indicate a significant Group x Session interaction effect (p < 0.05).