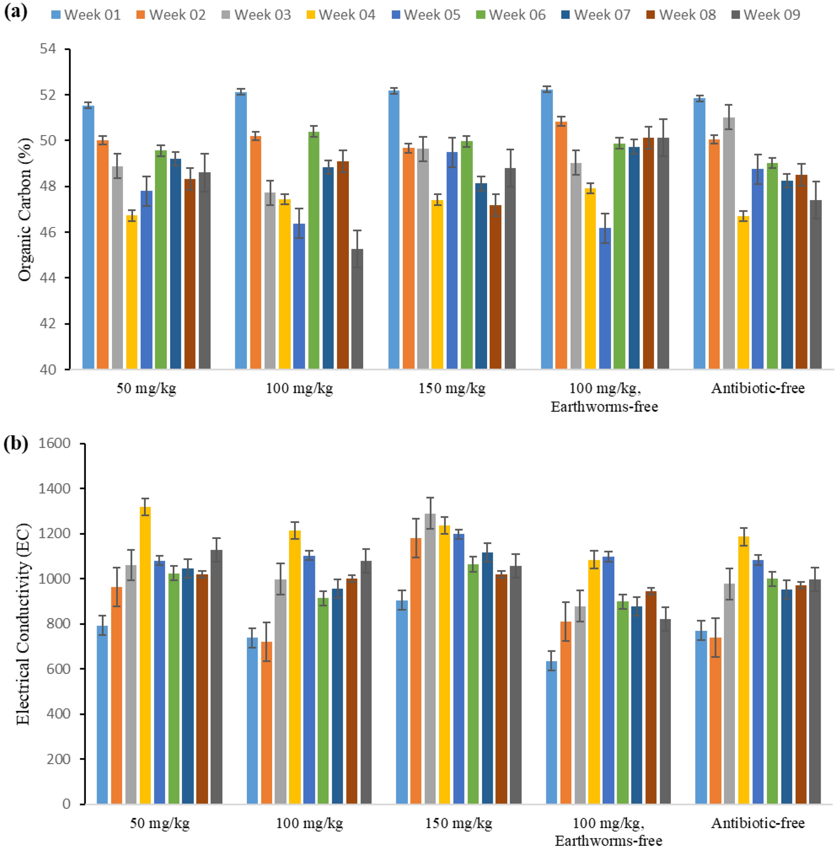
Figure 4

Observed variations in (a) organic carbon, and (b) electrical conductivity throughout the vermicomposting duration in the studied reactors (50, 100, 150 mg/kg tylosin, 100 mg/kg tylosin without earthworm, and antibiotic-free reactor).

Observed variations in (a) organic carbon, and (b) electrical conductivity throughout the vermicomposting duration in the studied reactors (50, 100, 150 mg/kg tylosin, 100 mg/kg tylosin without earthworm, and antibiotic-free reactor).