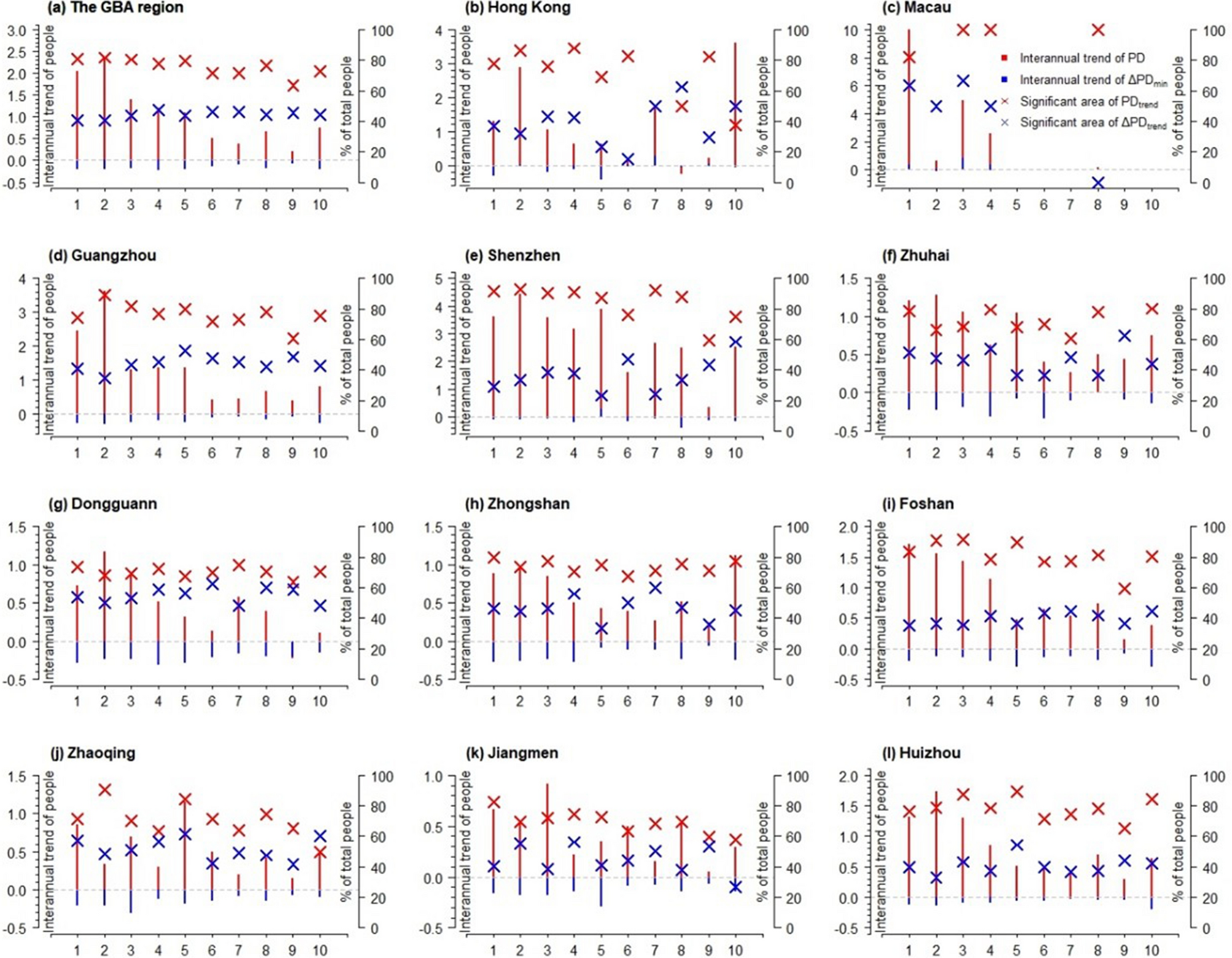
Figure 4

The interannual trend of amount and interannual difference (interannual trend of PD and interannual trend of ΔPD, respectively) on the density of population (number of people per ha) and the corresponding areas on significant trend (significant trend of PD and significant trend of ΔPD, respectively) across the built LCZs (1–10) between 2000–2020 in GBA and the 11 cities.