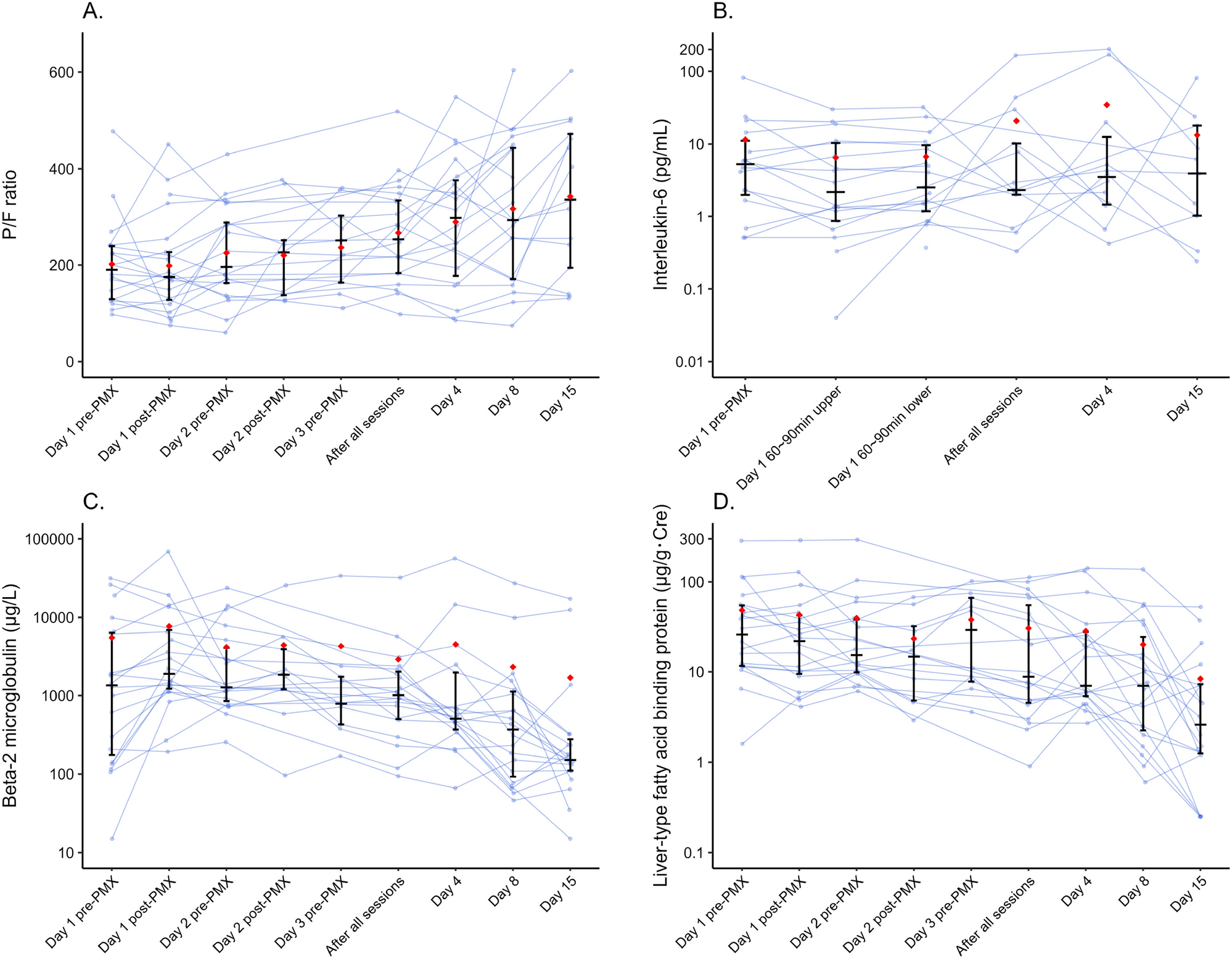
Figure 3

Clinical effectiveness in the PMX-treated group. Variations in various parameters before, during, and after PMX treatment for FAS. Horizontal black bars indicate the first quartile, median, and third quartile at each time point. Red diamonds indicate mean values at each time point. (A) P/F ratio, (B) serum IL-6, (C) urinary β2-microbloburin, (D) urinary L-FABP. L-FABP, liver-type fatty acid-binding protein; P/F ratio, PaO2/FiO2 ratio.