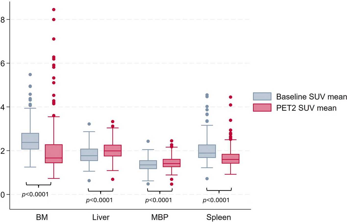
Figure 1

Box plot representing the percentage change in healthy tissue SUVmean between PET0 (baseline) and PET2. SUVmean in BM and spleen significantly decreased and increased significantly in liver and MBP. BM bone marrow, MBP mediastinal blood pool, SUVmean mean standardized uptake value.