Figure 11
From: A fully coupled system of generalized thermoelastic theory for semiconductor medium

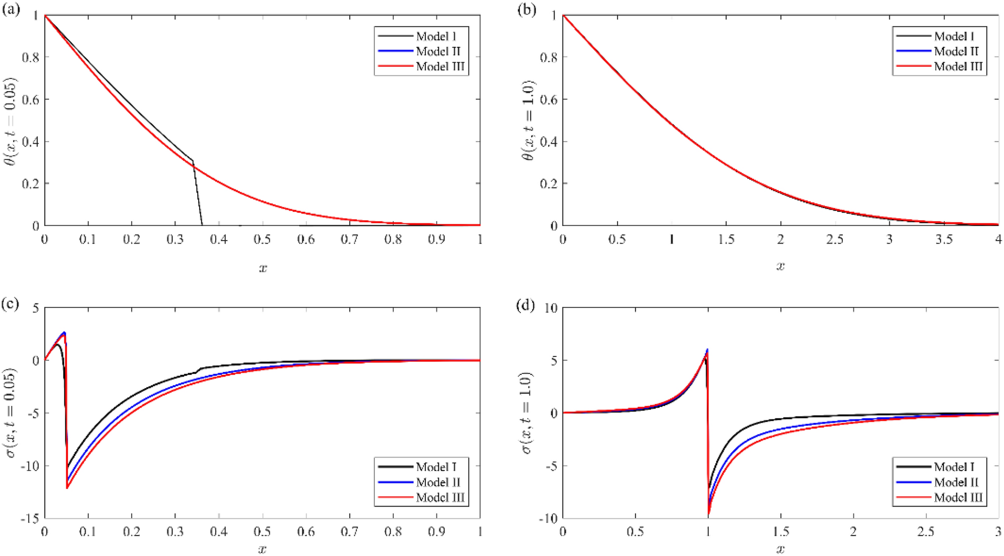
Comparison between the temperature and Normal stress distributions for different models at small and large instant of times.
From: A fully coupled system of generalized thermoelastic theory for semiconductor medium

Comparison between the temperature and Normal stress distributions for different models at small and large instant of times.