Figure 11

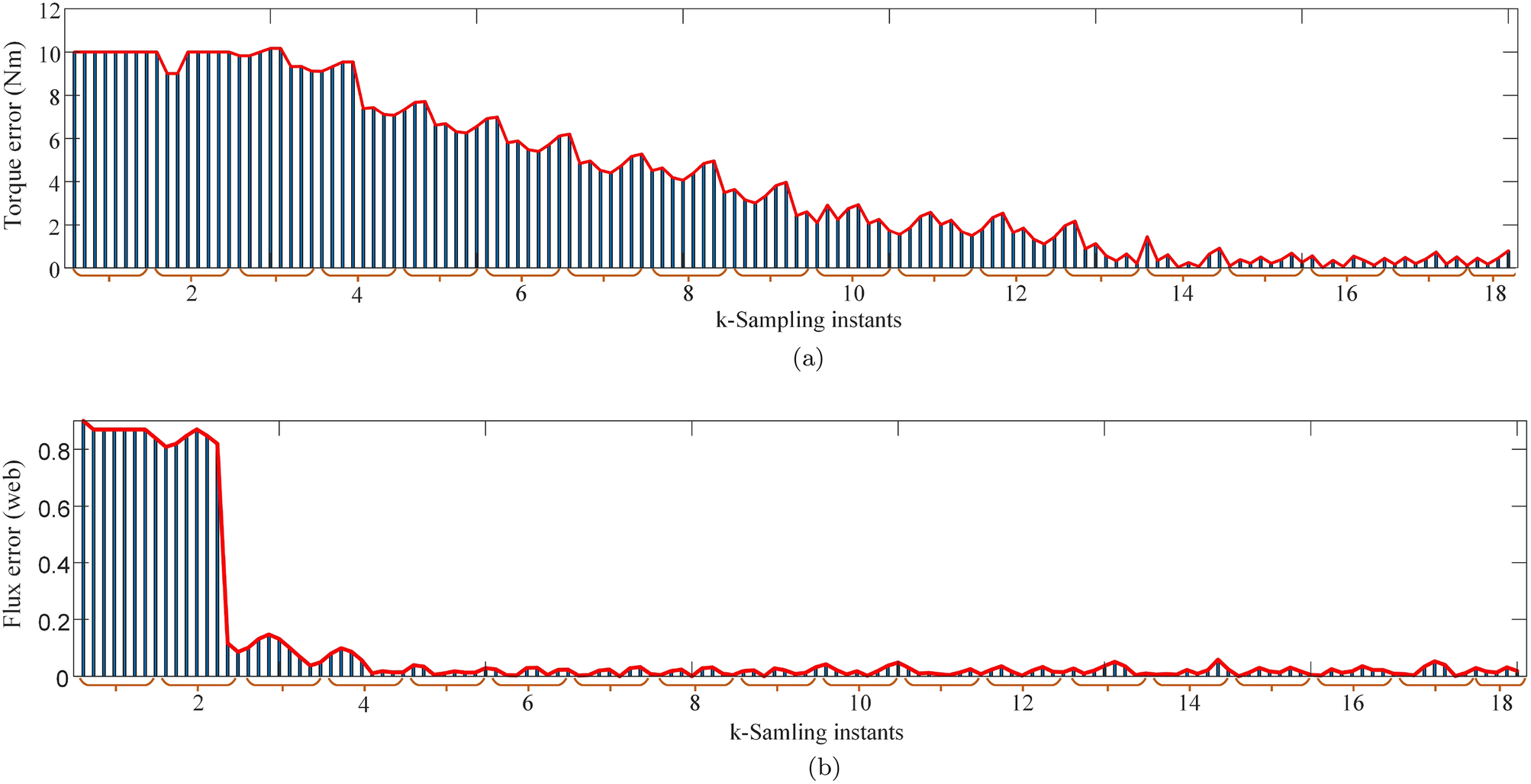
Minimum torque and flux errors under \(120\, \mathrm {rad/s}\) for k-sampling instants. (a) Torque error response, (b) Flux error response.

Minimum torque and flux errors under \(120\, \mathrm {rad/s}\) for k-sampling instants. (a) Torque error response, (b) Flux error response.