Table 4 Descriptions of the performance metrics.
Metrics | Equation | Characteristics |
|---|---|---|
Mean absolute error | \(MAE = \frac{{\mathop \sum \nolimits_{i = 1}^{N} \left| {\hat{y} - y} \right|}}{N}\) | Smaller is better (best = 0), range = (− inf, + inf) |
Root mean square error | \(RMSE = \sqrt {\frac{{\mathop \sum \nolimits_{i = 1}^{N} \left( {\hat{y} - y} \right)^{2} }}{N}}\) | Smaller is better (best = 0), range = (− inf, + inf) |
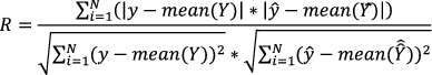
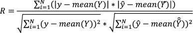
Pearson’s correlation coefficient | Greater is better (best = 1), range = (− inf, 1] | |
Mean absolute percentage error | \(MAPE = \frac{1}{N}*\mathop \sum \limits_{i = 1}^{N} \left| {\frac{{y - \hat{y}}}{y}} \right|\) | Smaller is better (best = 0), range = [0, + inf) |
Nash–sutcliffe efficiency | \(NSE = 1 - { }\frac{{\mathop \sum \nolimits_{1}^{N} \left( {y_{i} - \hat{y}_{i} } \right)^{2} }}{{\mathop \sum \nolimits_{i = 1}^{N} \left( {y_{i} - mean\left( Y \right)} \right)^{2} }}\) | Greater is better (best = 1), range = (− inf, 1] |
Kling-Gupta efficiency | \(KGE = 1 - \sqrt {\left( {R - 1} \right)^{2} + \left( {\beta - 1} \right)^{2} + \left( {\gamma - 1 } \right)^{2} }\) R is Pearson’s Correlation Coefficient, CV is coefficient of variation, μ is mean, σ is standard deviation \(\beta = {\raise0.7ex\hbox{${\mu_{{\hat{y}}} }$} \!\mathord{\left/ {\vphantom {{\mu_{{\hat{y}}} } {\mu_{y} }}}\right.\kern-0pt} \!\lower0.7ex\hbox{${\mu_{y} }$}}\); \(\gamma = {\raise0.7ex\hbox{${CV_{{\hat{y}}} }$} \!\mathord{\left/ {\vphantom {{CV_{{\hat{y}}} } {CV_{y} }}}\right.\kern-0pt} \!\lower0.7ex\hbox{${CV_{y} }$}} = \frac{{\sigma_{{\hat{y}}} \mu_{y} }}{{\mu_{{\hat{y}}} \sigma_{y} }}\) | Greater is better (best = 1), range = (− inf, 1] |
