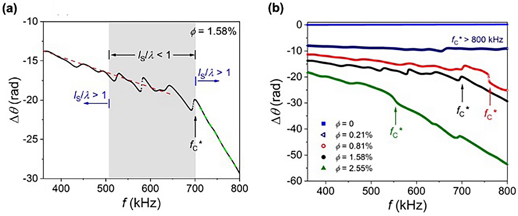
Figure 3

(a) Measured change in phase angle Δθ versus frequency f for an EMB equilibrium volume fraction ϕ = 1.58%. The shaded gray region highlights the frequency range over which we measure lS/λ < 1 where lS and λ are the scattering mean free path and effective wavelength, respectively (compare to Fig. 2d); outside the shaded gray region we measure lS/λ > 1. The dashed red and green lines are linear fits to the data from which we determine the slope of Δθ versus f (and therefore phase velocity vL versus f) on either side of the critical frequency fC*. (b) Δθ versus f for varying EMB equilibrium volume fraction ϕ. The ϕ = 1.58% data set in (b) is the same solid black circle data set shown in (a). In each figure part, the horizontal axes are plotted over the EMB resonance frequency range targeted by the experiment. Also, in each figure part, fC* is the critical frequency at which the Δθ slope markedly changes and the random-like nature of Δθ versus f, which is most apparent when lS/λ < 1, becomes smooth.