Figure 1
From: Effect of the COVID-19 pandemic on Vogt–Koyanagi–Harada disease

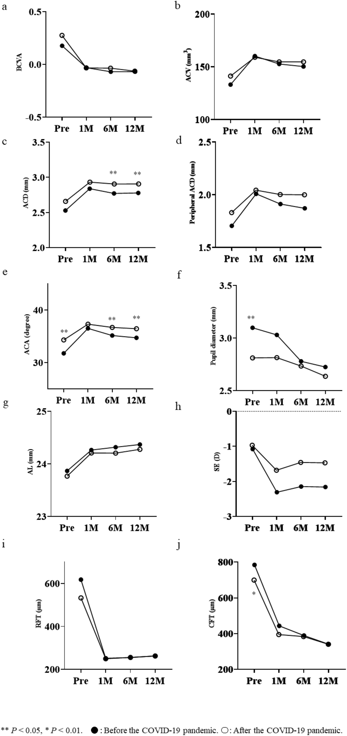
(a) Longitudinal changes in the best-corrected visual acuity (BCVA) as the logarithm of the minimal angle of resolution for both the Before and After groups without a significant difference between the groups. (b) The anterior chamber volume at pretreatment and months 1, 6, and 12 without significant difference. (c) The anterior chamber depth at pretreatment and months 1, 6, and 12 with significant differences at months 6 and 12. (d) The peripheral anterior chamber depth at pretreatment and months 1, 6, and 12 without significant difference. (e) The anterior chamber angles at the pretreatment and months 1, 6, and 12 with significant differences at pretreatment and months 6 and 12. (f) The pupil diameter at the pretreatment and months 1, 6, and 12 with significant differences at pretreatment. (g) The axial length at pretreatment and months 1, 6, and 12 without significant difference. (h) The spherical equivalent at pretreatment and months 1, 6, and 12 without significant difference. (i) The retinal foveal thickness at pretreatment and months 1, 6, and 12 without significant difference. (j) The choroidal foveal thickness at pretreatment and months 1, 6, and 12 with significant difference at pretreatment. ACA anterior chamber angle, ACD anterior chamber depth, ACV anterior chamber volume, AL axial length, BCVA best-corrected visual acuity, CFT choroidal foveal thickness, MAR minimal angle of resolution, RFT retinal foveal thickness, SE spherical equivalent.