Figure 9
From: Advanced optical assessment and modeling of extrusion bioprinting

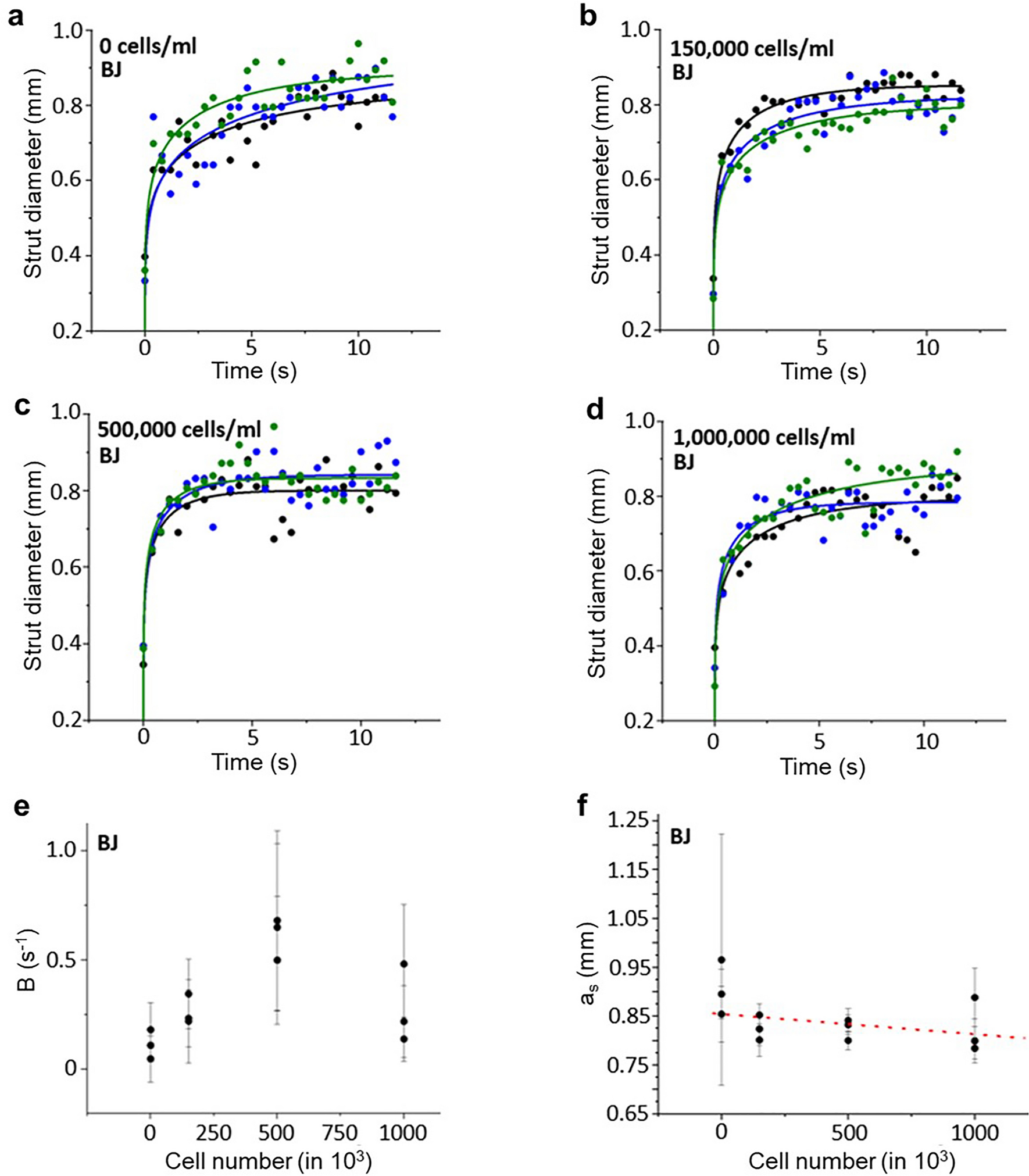
Spreading kinetics of 4% alginate-PBS-solution supplemented with (a) 0, (b) 150,000, (c) 500,000 and (d) 1,000,000 BJ cells/ml. The three colors indicate a triplicate of experiments under the same conditions. The solid lines are fits according to theory as described in the text. The parameters B (e) and as (f) were by fitting the curves in (a–d) according to Eq. (22). The corresponding values are plotted against the number of cells incorporated.