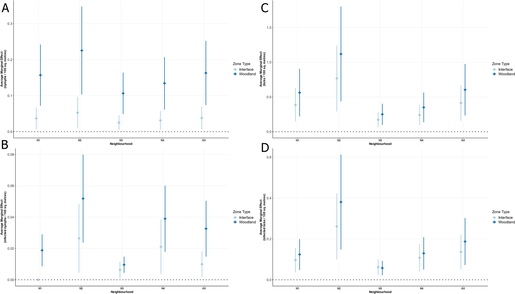
Figure 2

Average marginal effect on nymphal density (A), density of infected nymphs (B), tick (nymph and adult) density (C), and density of infected adults and nymphs (D) for interface and woodland zones compared to residential, with all other covariates at their mean value. Plots include the zonal effect within each neighbourhood (N1–N4) as well as independent of neighbourhood. The density of infected nymphs (B) and infected adults and nymphs combined (D) is determined by the product of the predicted density and the observed infection prevalence reported in Table 1.