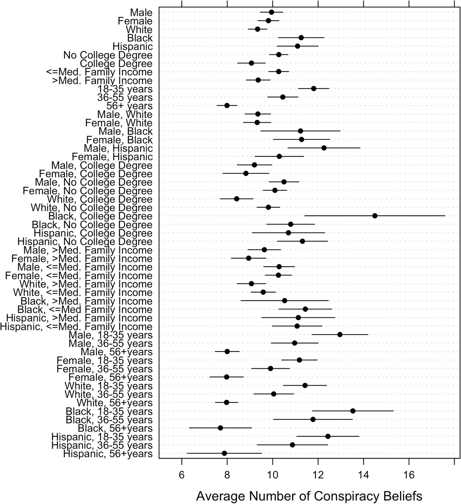
Figure 6

Correlations between a count of 39 conspiracy theory beliefs (see Study 1) and combinations of sociodemographic characteristics, with 95% confidence intervals.

Correlations between a count of 39 conspiracy theory beliefs (see Study 1) and combinations of sociodemographic characteristics, with 95% confidence intervals.