Figure 5
From: Anomalous coherent and dissipative coupling in dual photon-magnon hybrid resonators

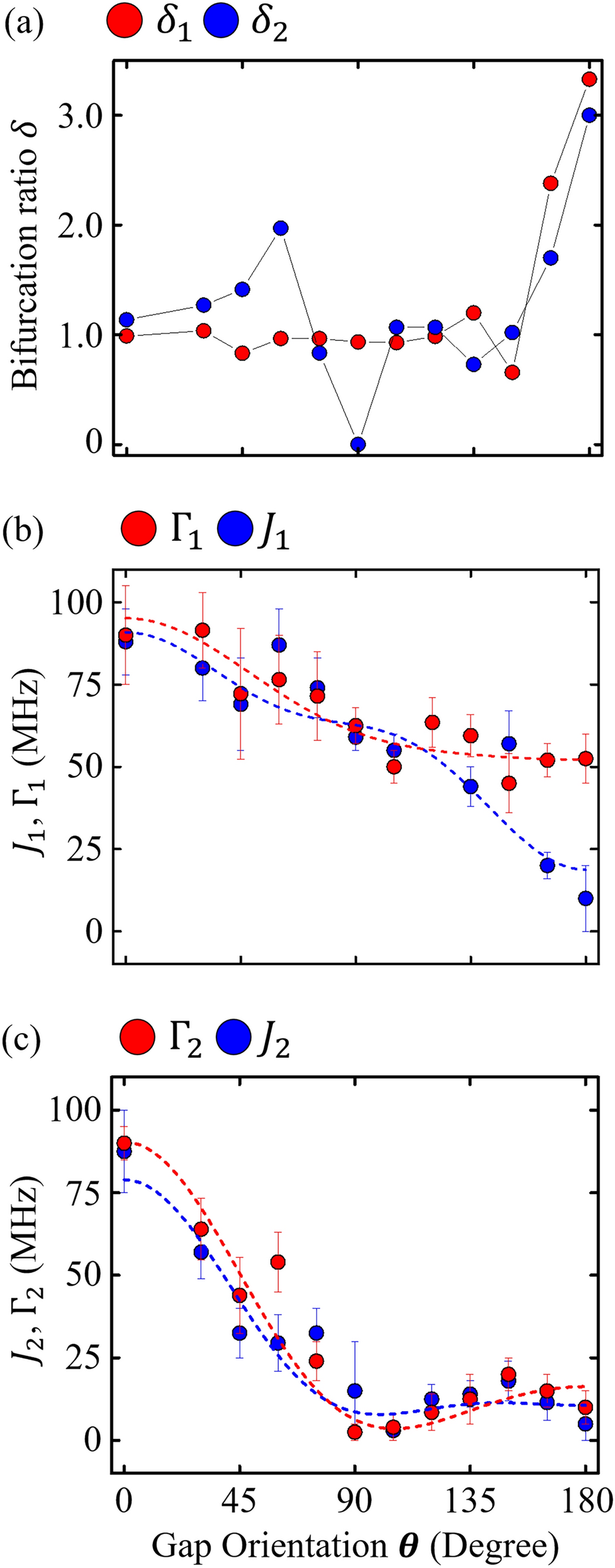
Bifurcation ratios and coupling constants in a dual-photon-magnon hybrid structure based on parameters obtained from measured dispersions and analytical model. (a) Experimentally determined bifurcation ratios, \({\delta }_{1}\) (red) and \({\delta }_{2}\) (blue) as functions of the gap angle orientation θ. Coupling strengths of (b) the lower-branch photon mode and (c) the higher-branch photon mode, each interacting with the magnon mode. \({J}_{\text{1,2}}\) and \({\Gamma }_{\text{1,2}}\) indicate coherent and dissipative coupling constants, respectively, with the subscript numbers referring to the two YIG/ISRR hybrids. The scatter points, representing experimental values, include error bars, while the dashed lines indicate theoretical fitting results obtained from a multipolar expansion formula.