Figure 3

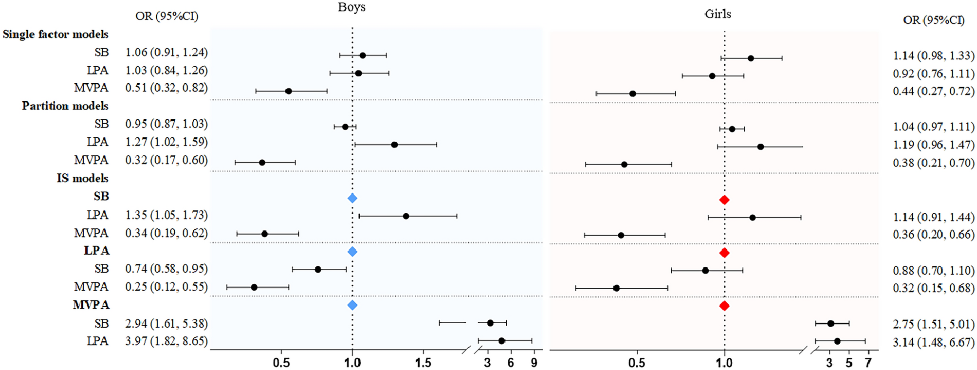
Results of single factor, partition, and IS models examining the association of sedentary behavior and MVPA with ball throw by boys and girls. Values were odds ratio (95%CI), OR odds ratio, CI confidence interval.

Results of single factor, partition, and IS models examining the association of sedentary behavior and MVPA with ball throw by boys and girls. Values were odds ratio (95%CI), OR odds ratio, CI confidence interval.