Figure 4
From: Homeobox and Polycomb target gene methylation in human solid tumors

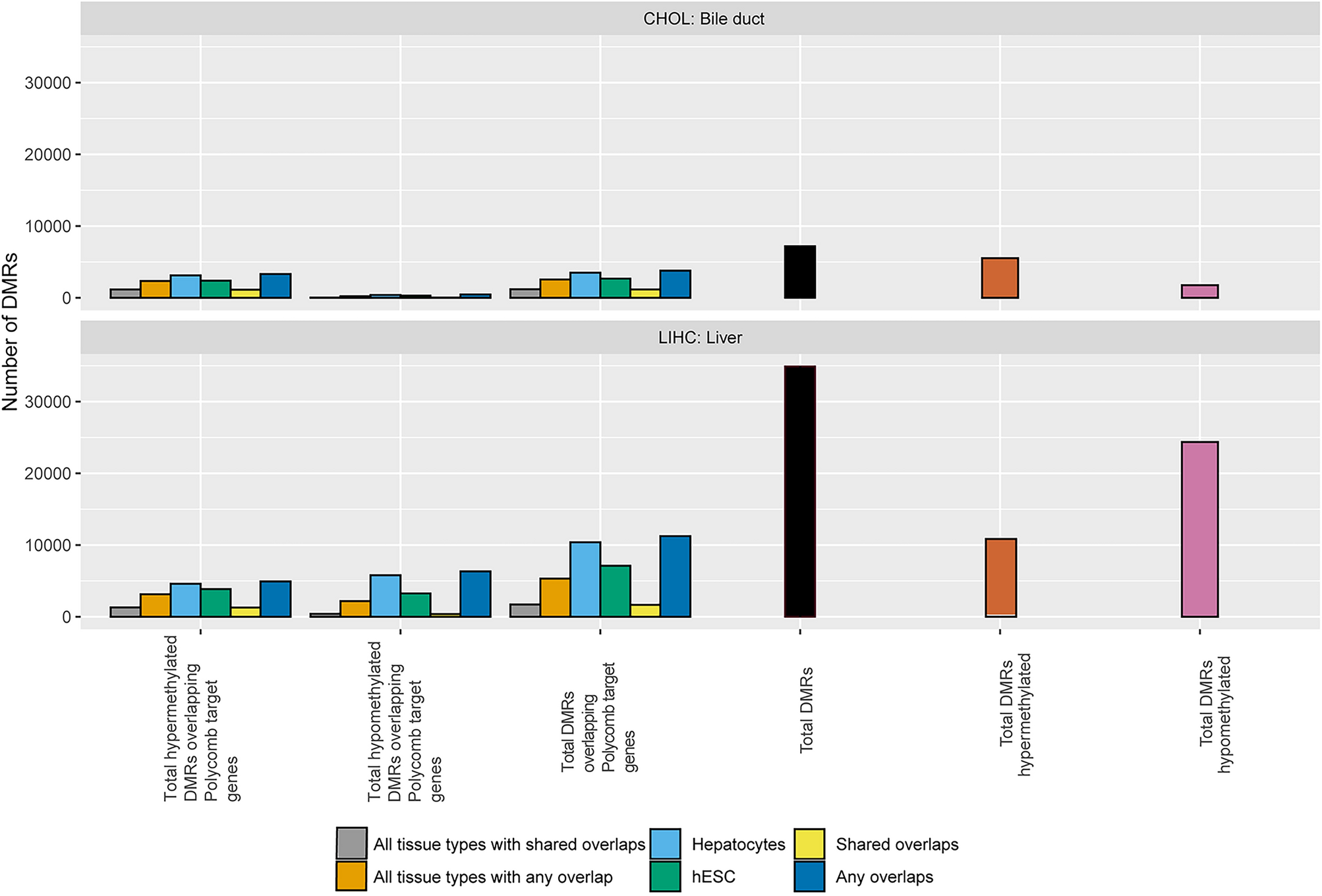
Number of hyper- and hypomethylated DMRs for Polycomb repressive complex 2 target genes for TCGA hepatic cancer types. “Shared overlaps” is defined as the overlap between the DMRs and the H3K27me3 peaks present in all samples and “Any overlaps” means a given DMR overlaps with an H3K27me3 peak in one or more ChIP-seq samples. hESC represents the H1 H3K27me3 data downloaded from GEO. “All tissue types with any overlap” indicates that the entirety of the DMRs were used, and ”All tissue types with shared overlap” indicates that only common DMRs were used.