Figure 5
From: Homeobox and Polycomb target gene methylation in human solid tumors

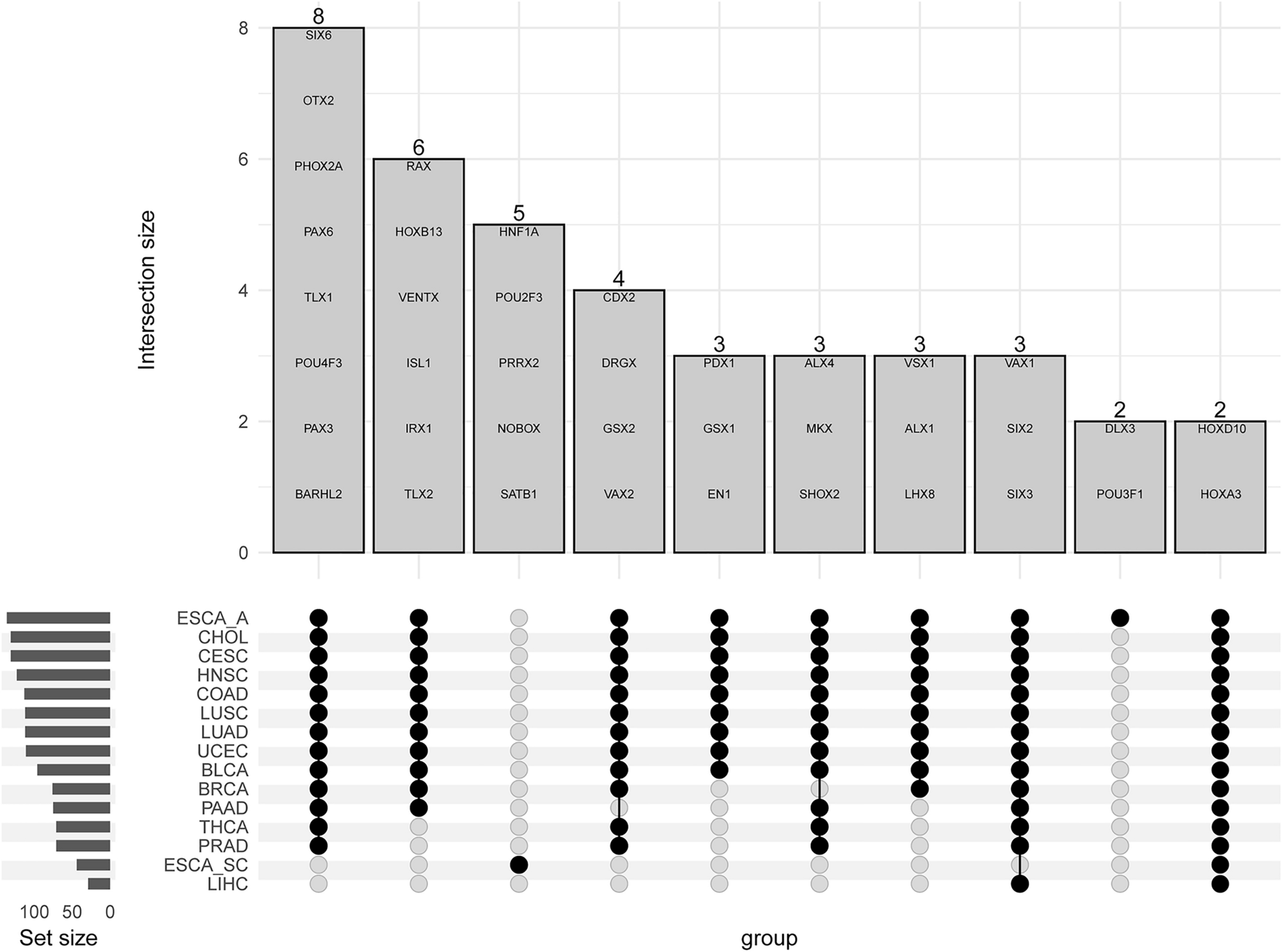
An upset plot42,43 showing the first 10 intersections between the TCGA cancer types and hypermethylated DMRs overlapping homeobox genes that met the change of 0.2 or greater in the beta values. The homeobox genes within the intersection set are listed within the bar plot. A black dot on the intersection portion of the figure indicates that the cancer type contains the hypermethylated genes within the bars. The set size represents the number of hypermethylated homeobox gene DMRs associated with the TCGA cancer type.