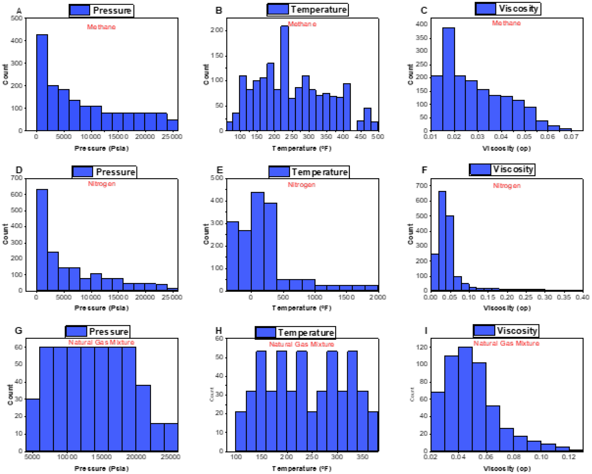
Figure 2

Histogram plots based on the gathered data from literature: (A) methane pressure, (B) methane temperature, (C) methane viscosity, (D) nitrogen pressure, (E) nitrogen temperature, (F) nitrogen viscosity, (G) natural gas mixture pressure, (H) natural gas mixture temperature, and (I) natural gas mixture viscosity data.