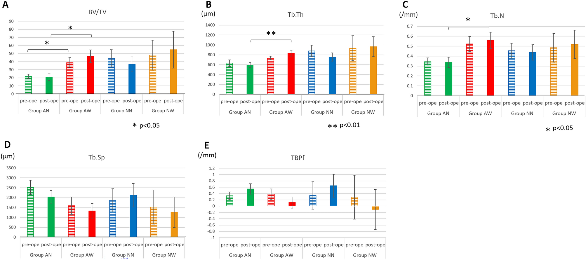
Figure 4

Comparison of bone microstructure among all groups. (A) trabecular bone volume density (BT/TV), (B) trabecular thickness (Tb,Th), (C) trabecular number (Tb.N), (D) trabecular separation (Tb.Sp), (E) trabecular bone pattern factor (TBPf). In cases with presurgical abnormalities in mandibular head morphology, the mean BV/TV values were 21.79% ± 2.92% and 38.80% ± 6.24% in Groups AN and AW, respectively, before surgery (p < 0.05). After surgery, the mean BV/TV values were 20.80% ± 4.04% and 46.66% ± 7.82% in Groups AN and AW, respectively, (p < 0.05), indicating an increase in postsurgical values compared with presurgical values in Group AW. In both cases with and without presurgical abnormal mandibular morphology, the resorption groups tended to have thicker trabecular width (Tb.Th), greater trabecular number (Tb.N), and narrower trabecular separation (Tb.Sp) than the nonresorption groups. Especially in cases with presurgical abnormal mandibular head morphology, there was a significant difference in the postsurgical Tb.Th with an average of 539.14 ± 51.31 µm in Group AN and 833.923 ± 62.03 µm in Group AW (p < 0.05). A significant difference was also observed in Tb.N with a mean of 0.34 ± 0.05/mm2 in Group AN and 0.56 ± 0.08/mm2 in Group AW (p < 0.05). These results indicate that Group AW had larger postsurgical Tb.Th, Tb.N, and Tb.Sp than Group AN. Regarding TBPf, among patients with presurgical abnormal mandibular head morphology, the mean TBPf values were 0.33 ± 0.12 and 0.37 ± 0.17 in Groups AN and AW, respectively, before surgery, whereas the respective values after surgery were 0.55 ± 0.17 and 0.11 ± 0.17. Among cases with no presurgical abnormal mandibular head morphology, the mean TBPf values were 0.34 ± 0.44 and 0.28 ± 0.70 in Groups NN and NW, respectively, before surgery, whereas the respective values after surgery were 0.65 ± 0.37 and −0.10 ± 0.63. These results suggest that the mandibular head bone in Group NW, which had a plate-like bone structure before surgery, became denser and exhibited a lattice-like morphology after surgery, whereas that in Groups AN, AW, and NN had a plate-to-rod-like morphology.