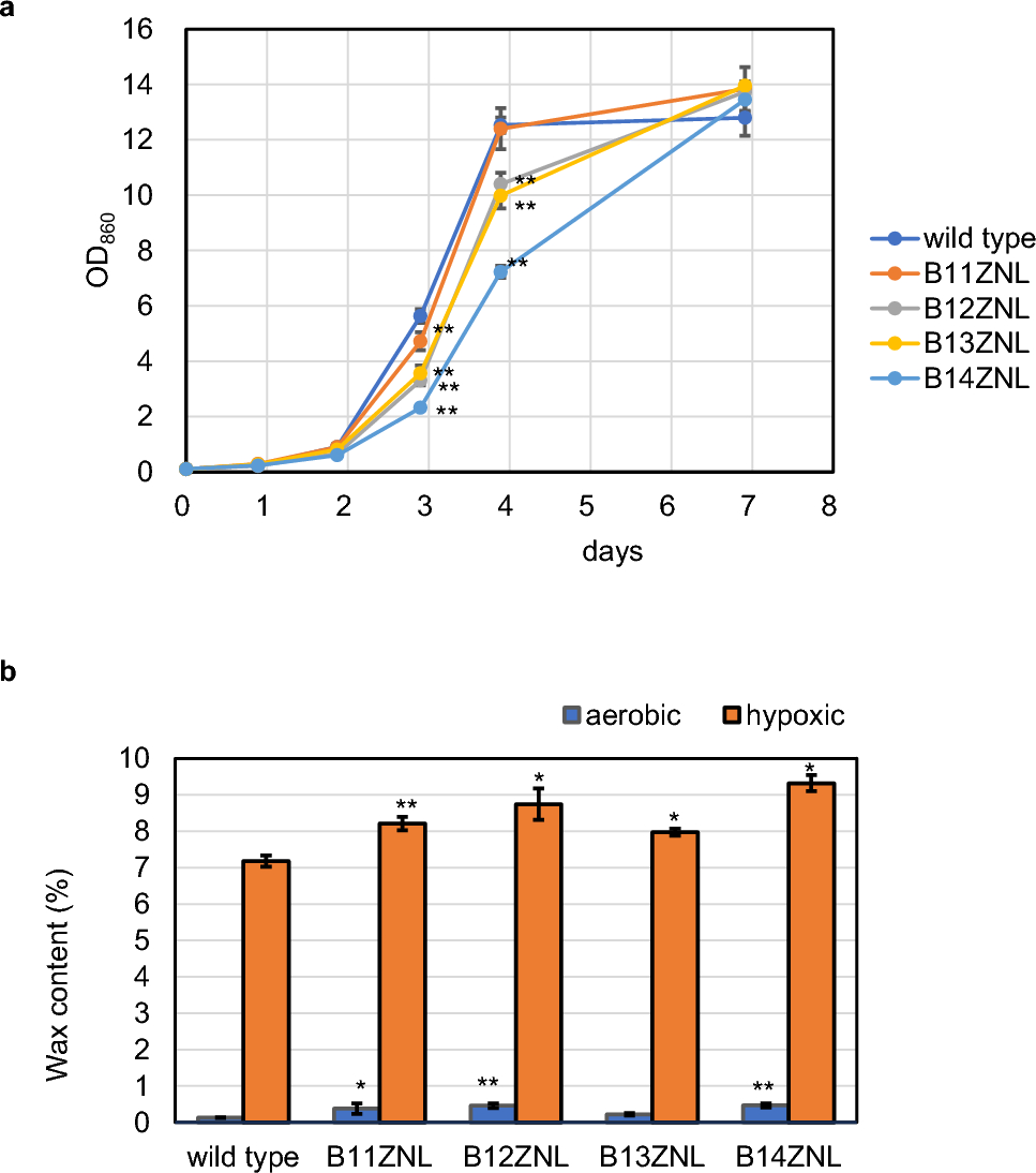
Figure 5

Growth curve and wax-ester accumulation of established E. gracilis strains. Panel (a) OD860 increase in wild-type and four established mutant strains under heterotrophic conditions. n = 3, error bars indicate the standard deviation, p values for post-hoc Dunnett test are shown for the data on days 3 and 4 as follows: **p < 0.01; *p < 0.05. Panel (b) wax-ester content in wild-type and four established strains in aerobic and hypoxic conditions. The ratios of the GC-quantified weights of extracted wax esters to those of the dried cell samples subjected to the extraction are shown. n = 3, error bars indicate the standard deviation, p values for post-hoc Dunnett test are shown for both aerobic and hypoxic conditions as follows: **p < 0.01; *p < 0.05.