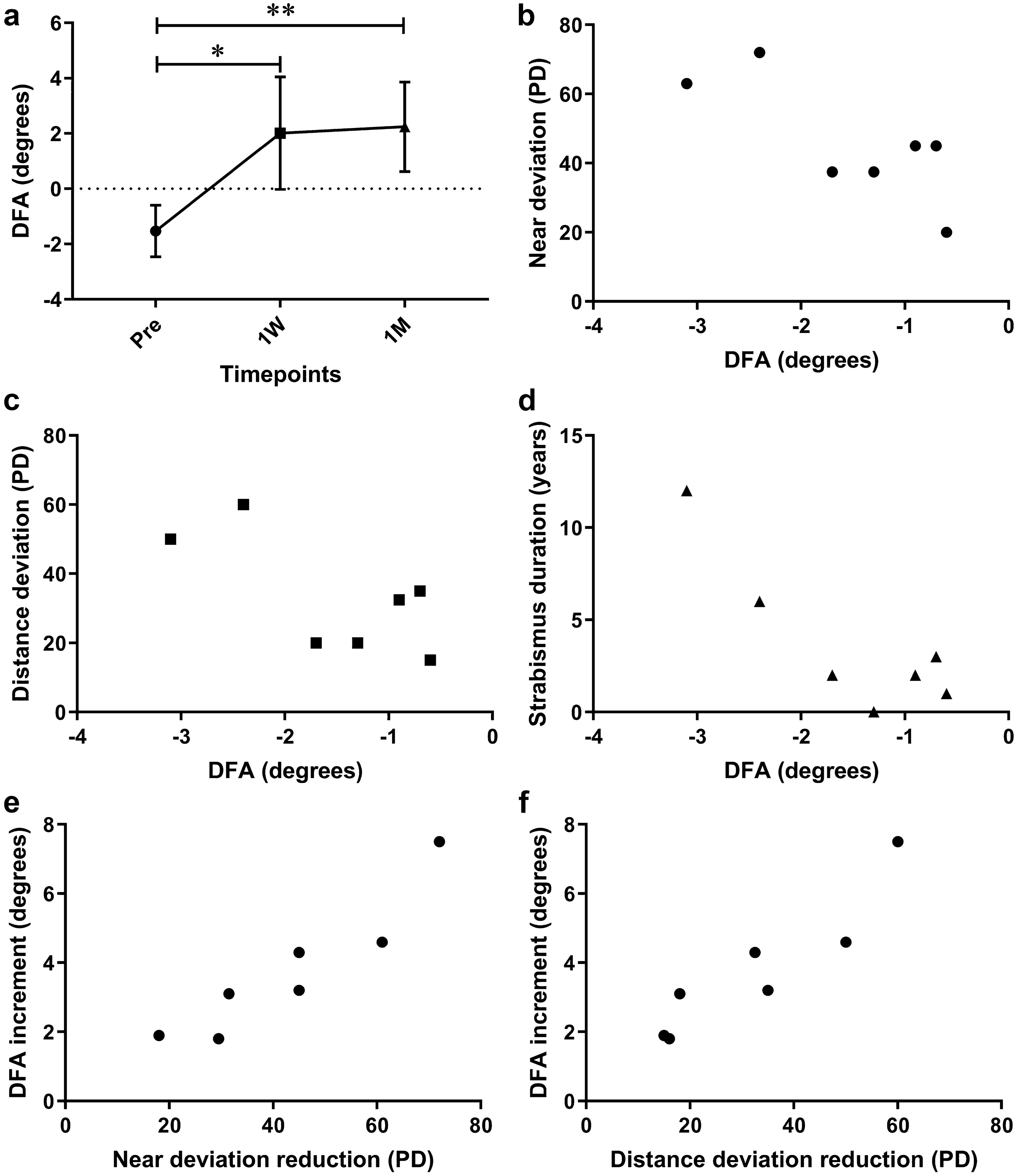
Figure 1

Changes in objective ocular torsion among patients with intorsion. (a) Longitudinal changes in disc-foveal angle (DFA) of eyes having intorsion. (b) Correlation between DFA and preoperative near deviation. (c) Correlation between DFA and preoperative distance deviation. (d) Correlation between DFA and strabismus duration. (e) Correlation between near deviation reduction and DFA increment at 1 month after surgery. (f) Correlation between distance deviation reduction and DFA increment at 1 month after surgery. P values for comparisons relative to preoperative level: *P < 0.05 and **P < 0.01; repeated measures (RM) one-way ANOVA with Dunnett’s multiple comparisons test.