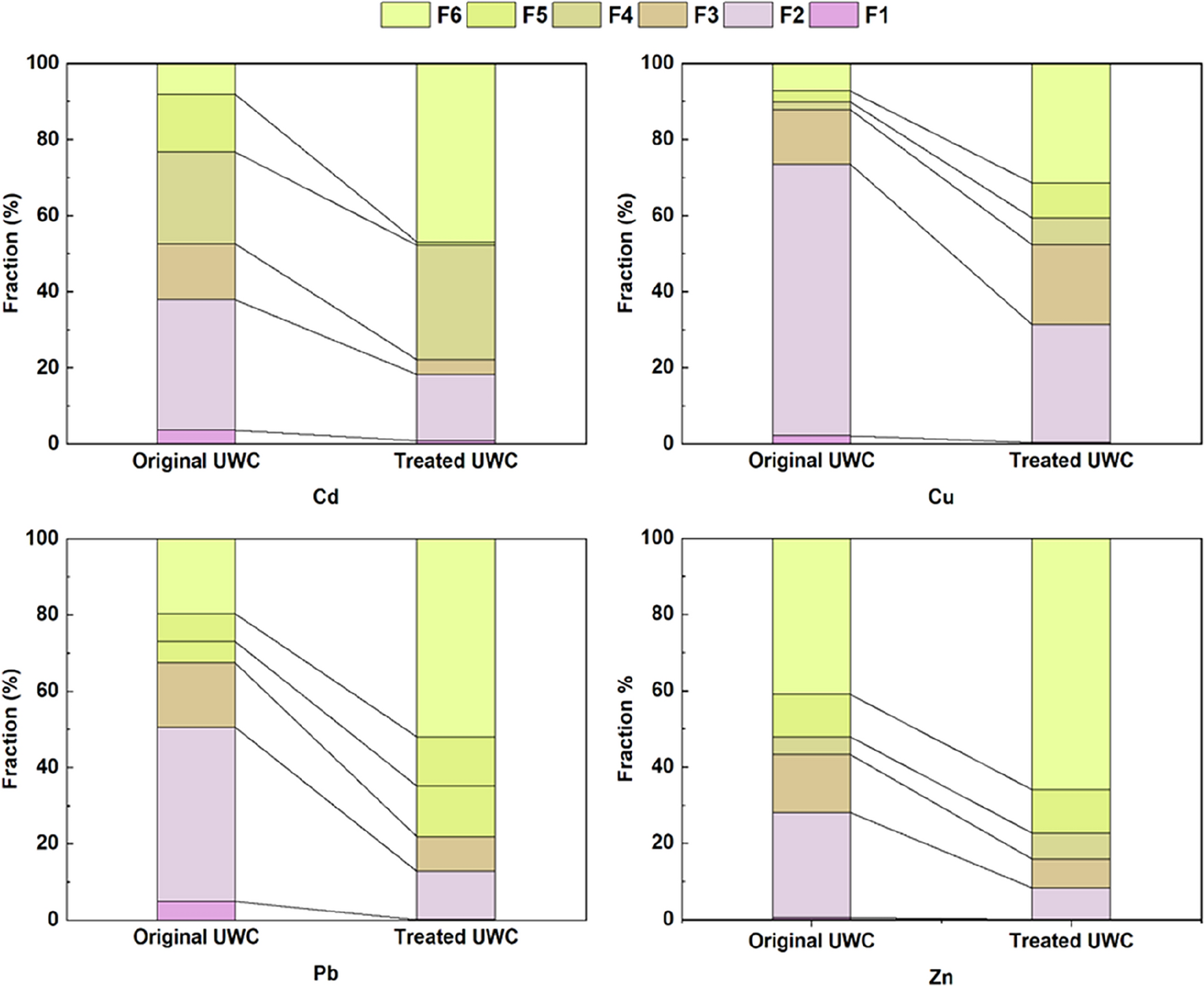
Figure 8
From: Bio-chelate assisted leaching for enhanced heavy metal remediation in municipal solid waste compost

Geochemical distribution of Cd, Cu, Pb, and Zn in original and treated MSW compost (at optimum condition: 150 mM, pH 2.9, and retention time 120 min).