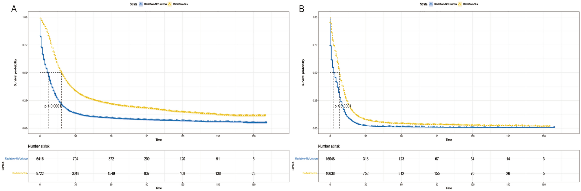
Figure 9

Kaplan–Meier survival curves of CSS in patients with in the radiotherapy and non-radiotherapy groups with different M stages. (A) M0, (B) M1.

Kaplan–Meier survival curves of CSS in patients with in the radiotherapy and non-radiotherapy groups with different M stages. (A) M0, (B) M1.