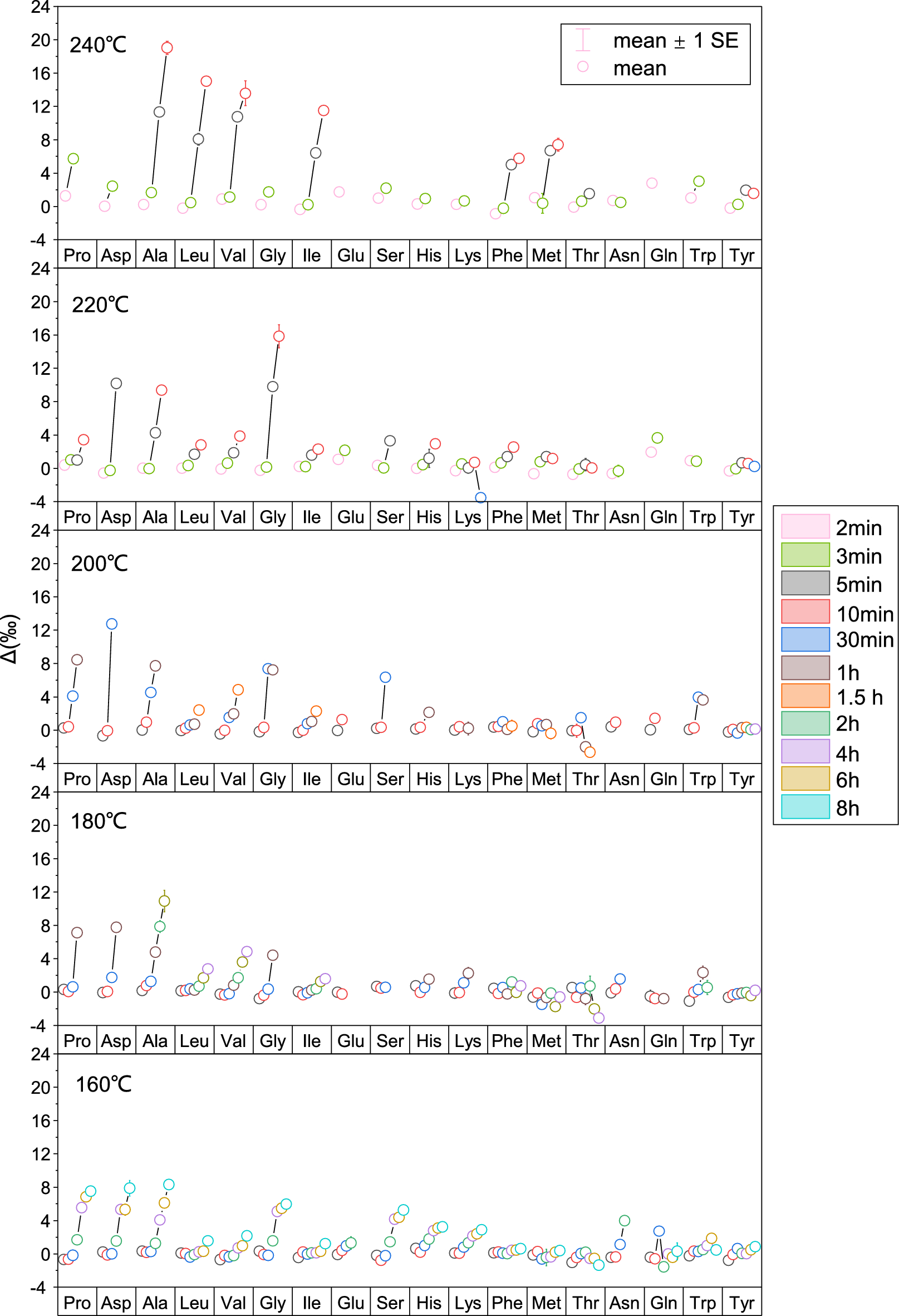
Figure 1
From: Kinetic nitrogen isotope effects of 18 amino acids degradation during burning processes

Shifts in δ15N values (Δ value) of individual amino acids, comparing the initial values with those after a specified duration of combustion across all experimental temperatures ranging from 160 to 240 °C. The symbols represent the average values.