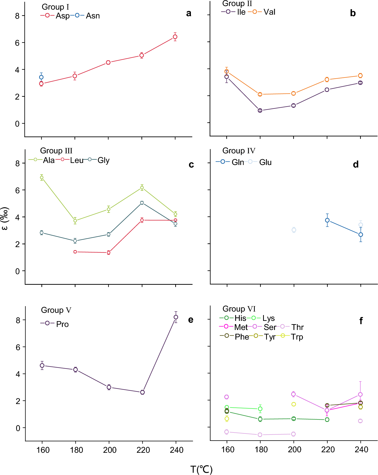
Figure 4
From: Kinetic nitrogen isotope effects of 18 amino acids degradation during burning processes

Changes in ε (‰) values of (a) Asp and Asn in group I, (b) Ile and Val in group II, (c) Ala, Leu and Gly in group III, (d) Glu and Gln in group IV, (e) Pro in group V, and (f) His, Lys, Met, Ser, Thr, Phe, Tyr and Trp in group VI with temperature.