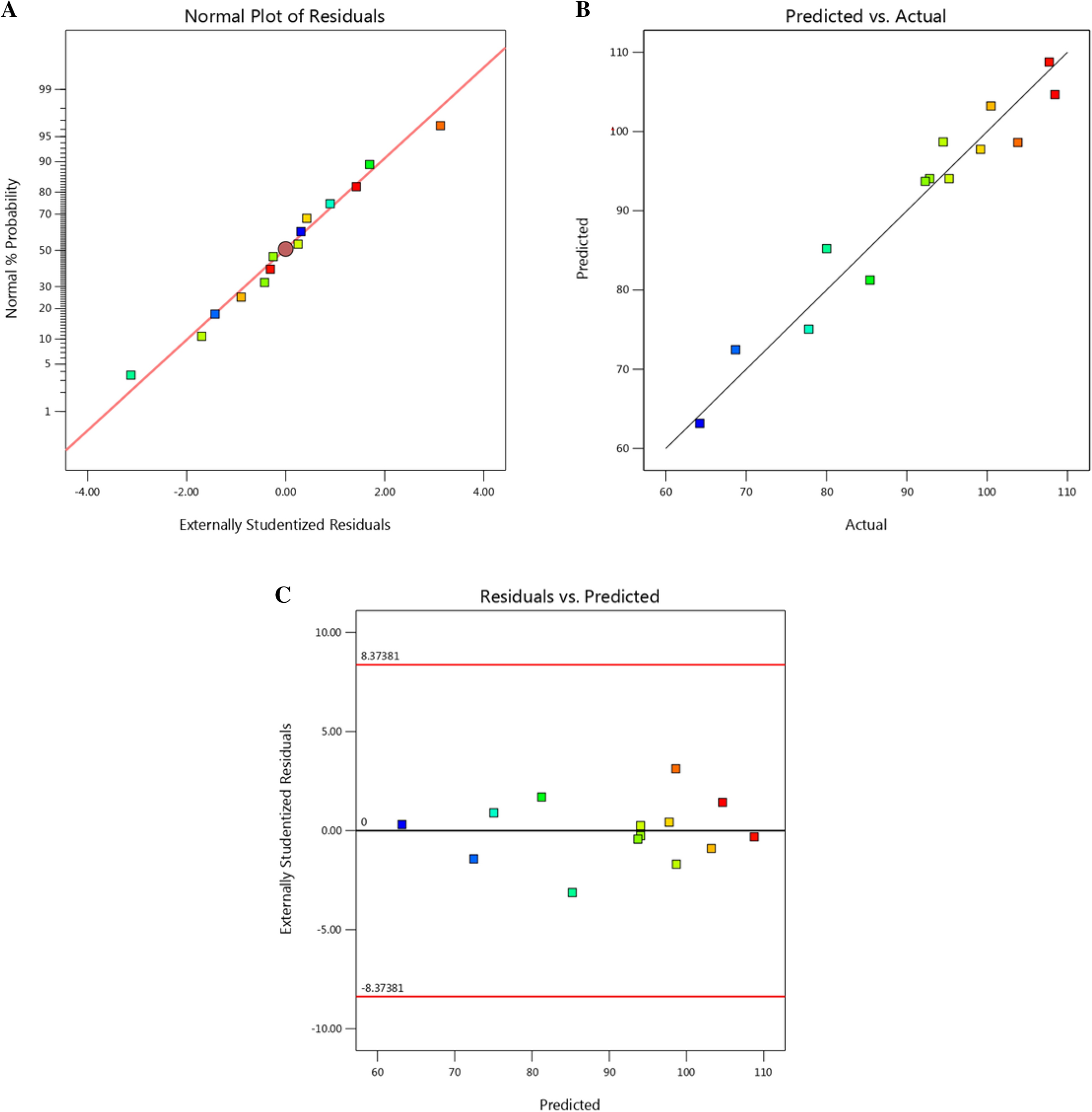
Figure 3

Box-Behnken design: (A) Normal probability plot (NPP) of the residuals to assess whether the model is adequate, (B) plot of predicted versus actual results of agarase production, and (C) Internally studentized residuals versus predicted agarase production.