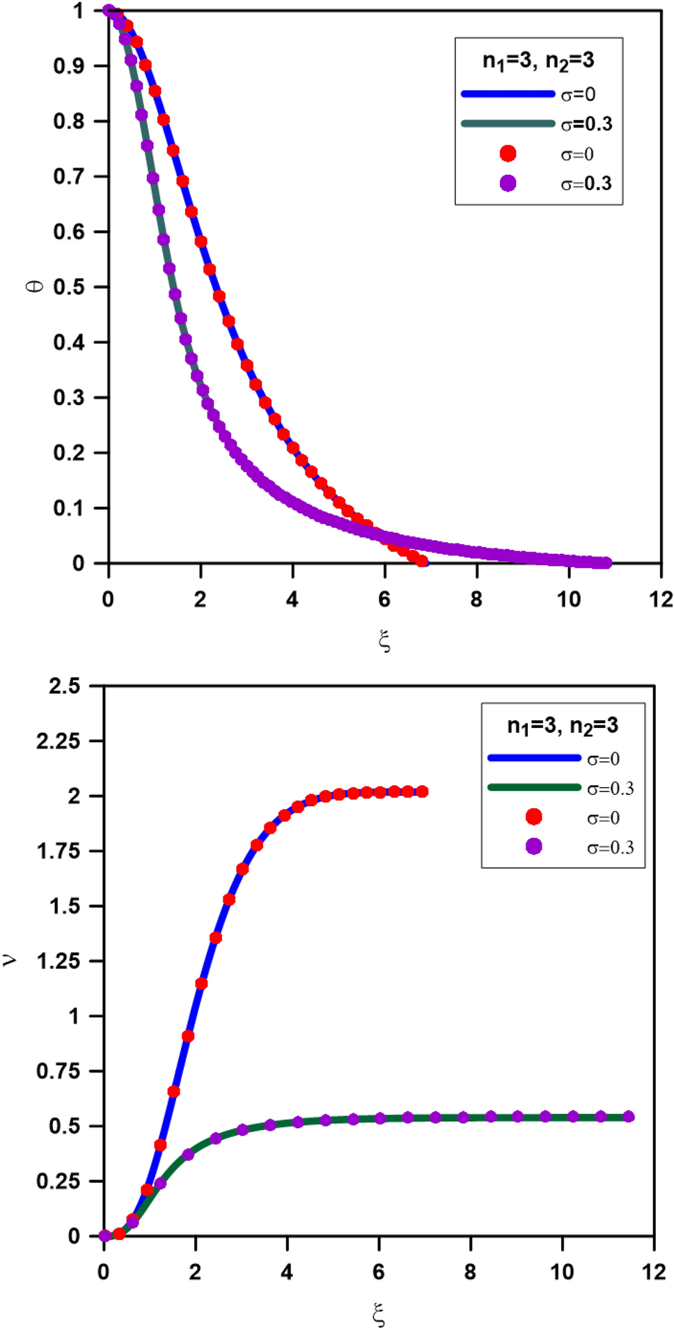
Figure 1

Comparison between solutions of composite polytrope (n1 = 3 and n2 = 3, CTOV equation-solid lines) and single polytrope (n = 3, TOV equation-dashed lines) with n = 3, σ = 0 and 0.3. The upper panel is for the Emden function, and the lower panel is for the mass function.