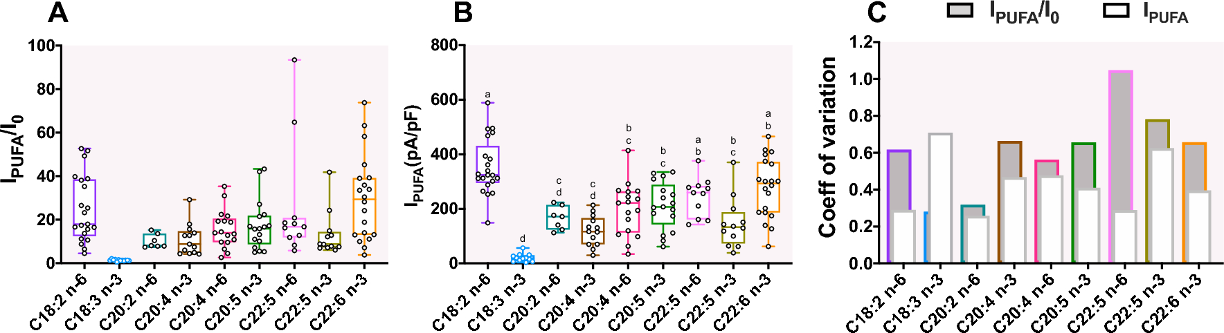
Figure 3
From: Activation of hTREK-1 by polyunsaturated fatty acids involves direct interaction

Variability of TREK-1 activation by PUFA (A) Boxplot of the fold increase (IPUFA/I0) of TREK-1 and (B) the current density at steady-state (IPUFA, pA/pF) at 0 mV for each PUFA at 10 µM. Boxplots represent the median (lines) with max and min values (error bars). Groups were compared with a Kruskal–Wallis test followed with the post-hoc Dunn’s test. Two bars having the same letter are not significantly different. (C) Changes in the coefficient of variation (SD/mean) between IPUFA/I0 and IPUFA at 0 mV. (white : coefficient of variation for IPUFA/I0; grey: coefficient of variation for IPUFA). Both coefficient of variation are superimposed.