Figure 17
From: Dynamic look-ahead feedrate scheduling method based on sliding mode velocity control

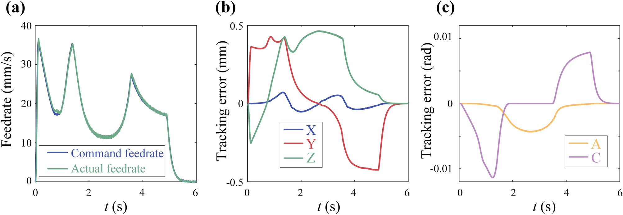
Experiment results of open-pocket curve: (a) command and actual feedrate profile in time domain; (b) tracking error of X, Y and Z; (c) tracking error of A and C.