Figure 6
From: Dynamic look-ahead feedrate scheduling method based on sliding mode velocity control

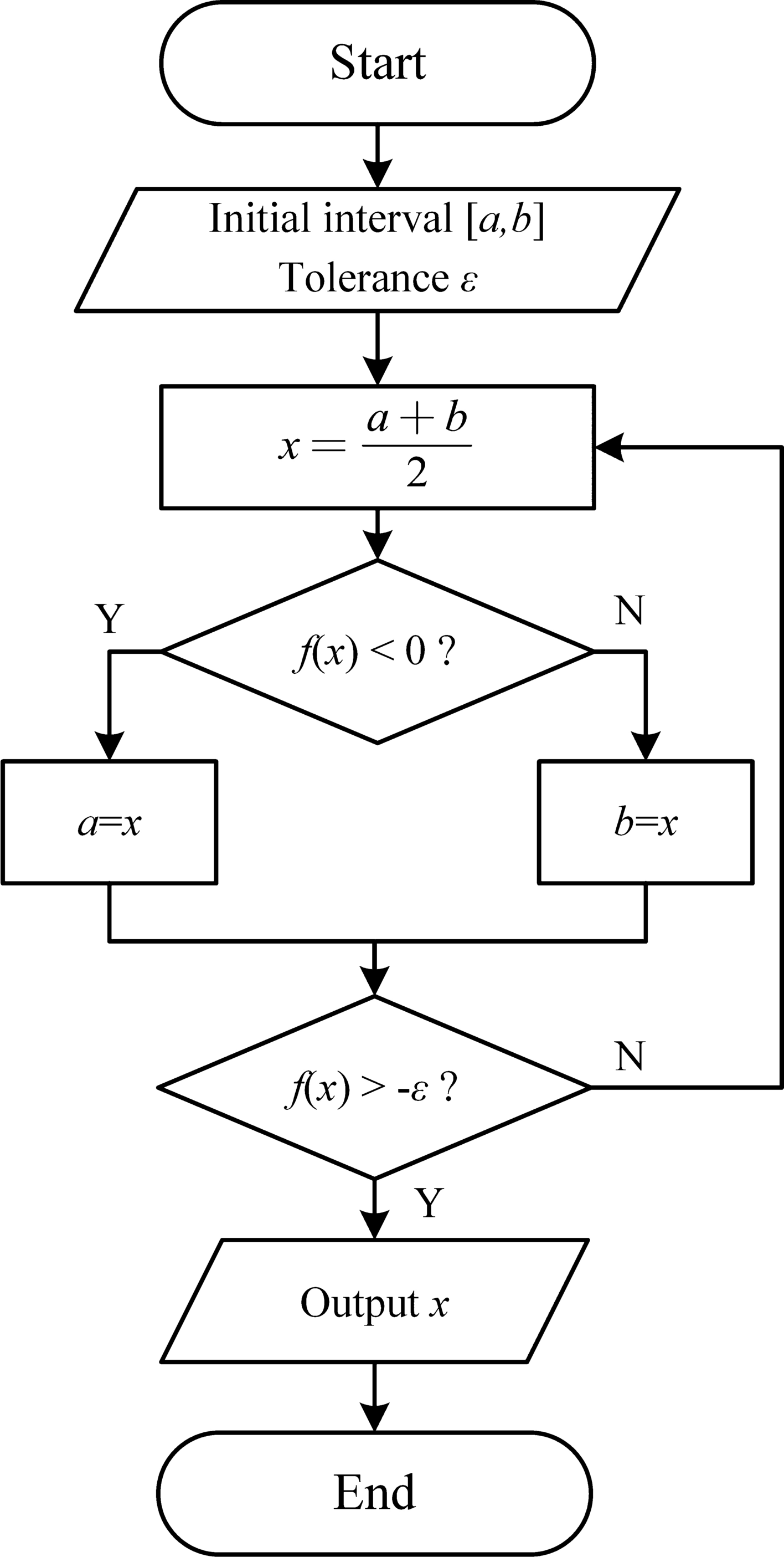
Iterative method for parameter optimization.
From: Dynamic look-ahead feedrate scheduling method based on sliding mode velocity control

Iterative method for parameter optimization.