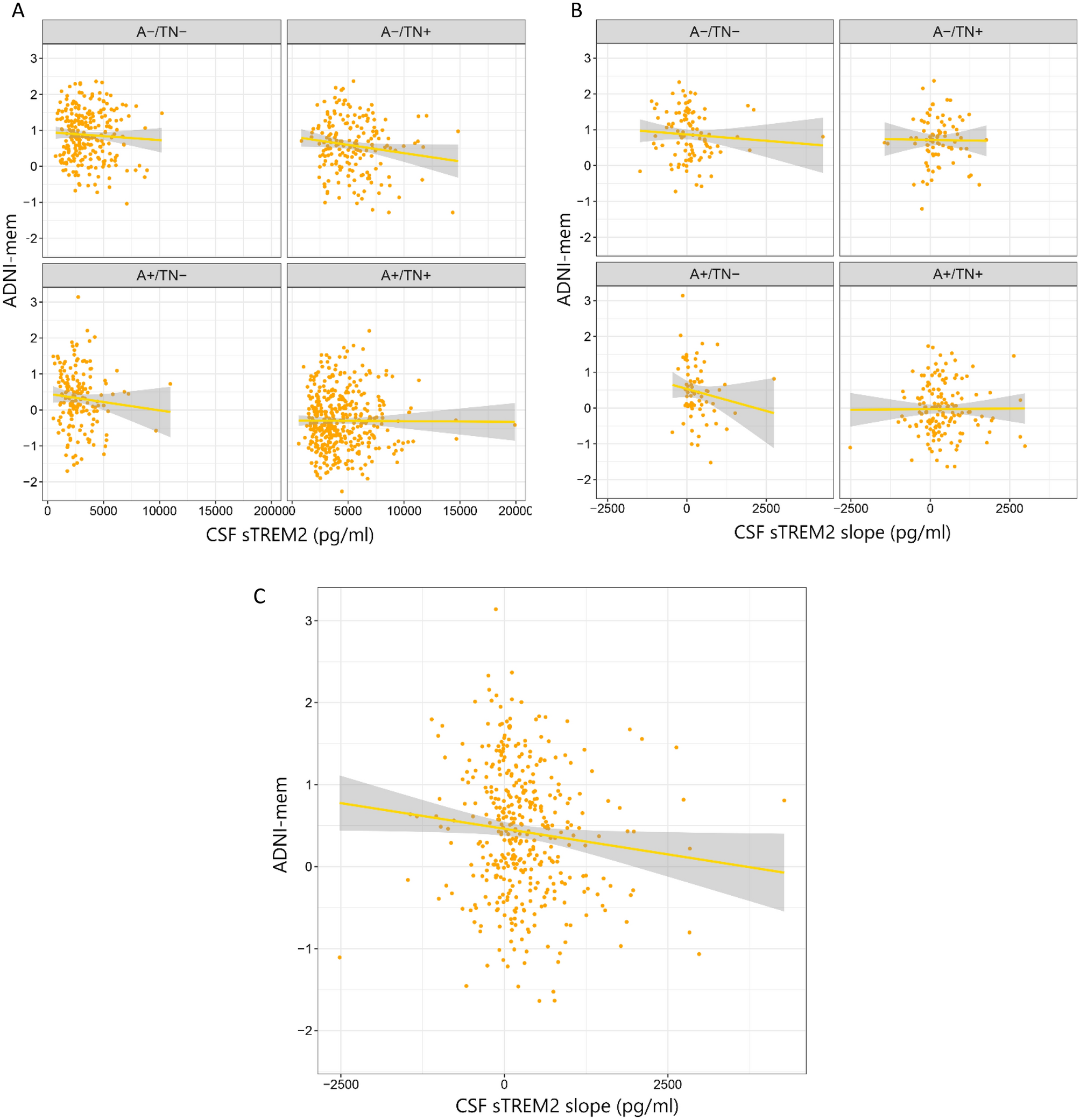
Figure 2
From: Neuroimaging biomarkers and CSF sTREM2 levels in Alzheimer’s disease: a longitudinal study

(A) Association between cognitive performance (ADNI-mem) and baseline level of CSF sTREM2, (B) rate of change of CSF sTREM2 (slope) in ATN groups, and (C) all participants.