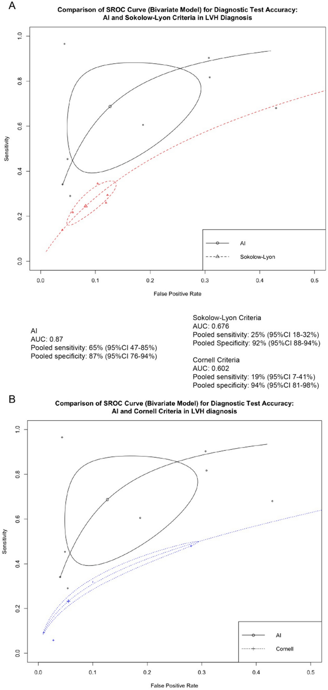
Figure 3

Summary receiver operating characteristic (SROC) of the diagnostic accuracy of artificial intelligence for the presence of LVH, compared with Sokolow–Lyon’s (a), and Cornell’s criteria (b).

Summary receiver operating characteristic (SROC) of the diagnostic accuracy of artificial intelligence for the presence of LVH, compared with Sokolow–Lyon’s (a), and Cornell’s criteria (b).