Figure 11
From: Boosting piezoelectric properties of PVDF nanofibers via embedded graphene oxide nanosheets

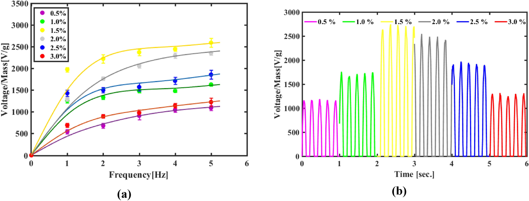
(a)The frequency response for PVDF/GO wt.% at force 0.3 N, (b) wave pulses output at 5Hz and 0.3N.
From: Boosting piezoelectric properties of PVDF nanofibers via embedded graphene oxide nanosheets

(a)The frequency response for PVDF/GO wt.% at force 0.3 N, (b) wave pulses output at 5Hz and 0.3N.