Figure 4
From: Effectiveness and satisfaction with virtual and donor dissections: A randomized controlled trial

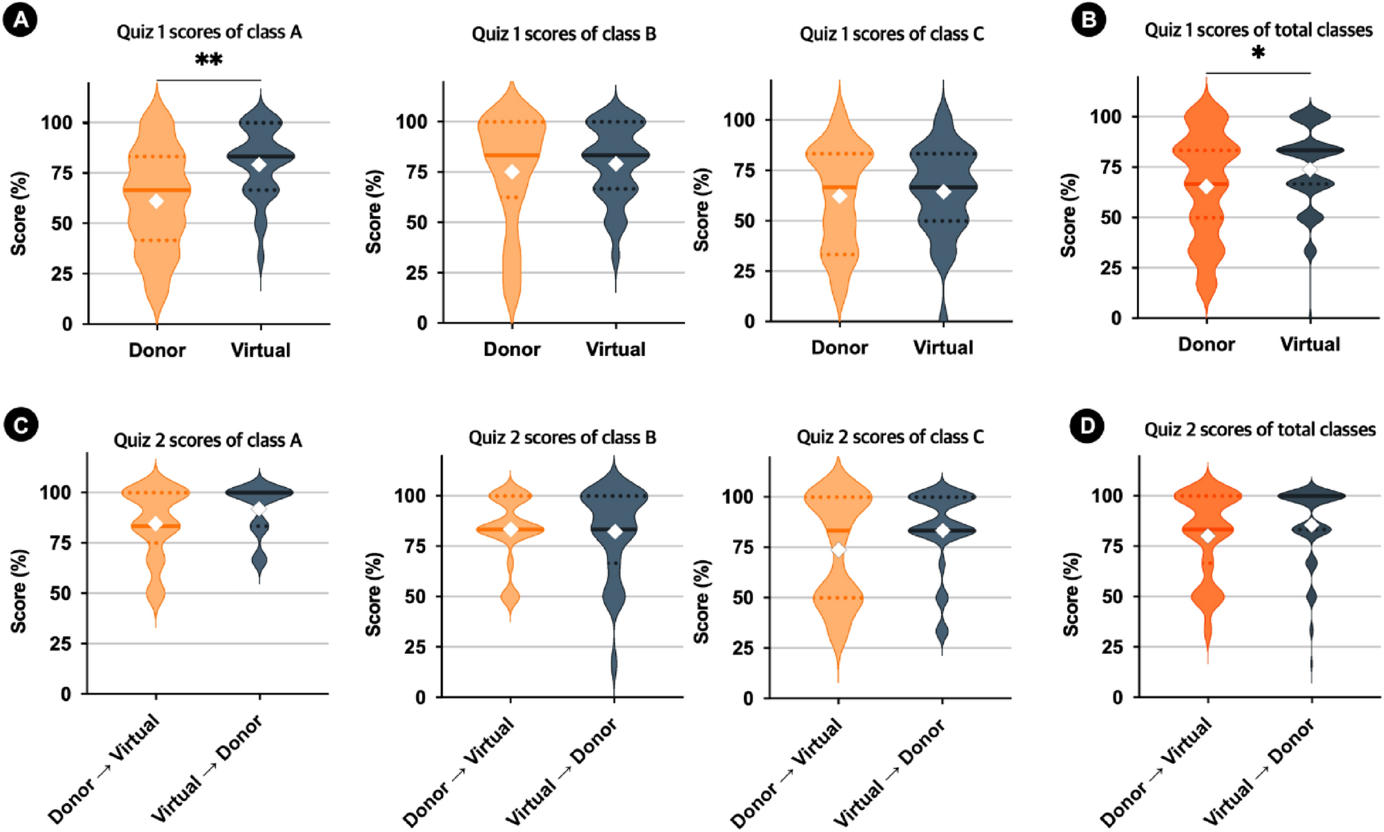
Comparison of Q1 and Q2 scores between the virtual and donor groups in the Neuroanatomy laboratory. Students’ academic performance in Q1 and Q2 was assessed using a t-test. (A) Violin plots of Q1 scores of classes A, B, and C. (B) Violin plots of Q1 scores of all classes. (C) Violin plots Quiz 2 scores of classes A, B, and C. (D) Violin plots of Q2 scores of all classes. The dotted line ranges from lower to upper quartiles. The solid line represents median values. White diamonds represent means. *p < 0.05; **p < 0.01.