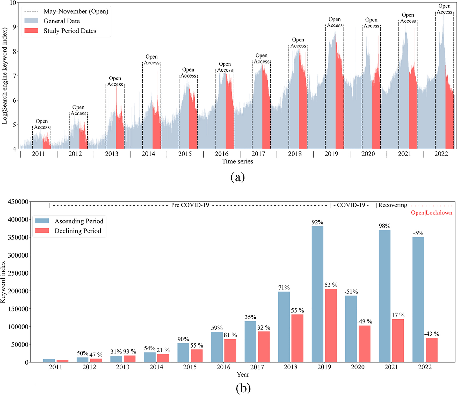
Figure 5

Variation of Baidu index for Duku Road (2011–2022). (a) The daily Baidu Index trend for Duku Road (2011–2022). (b) The Baidu Index during the years of unrestricted access for The Duku Road (2011–2022).

Variation of Baidu index for Duku Road (2011–2022). (a) The daily Baidu Index trend for Duku Road (2011–2022). (b) The Baidu Index during the years of unrestricted access for The Duku Road (2011–2022).