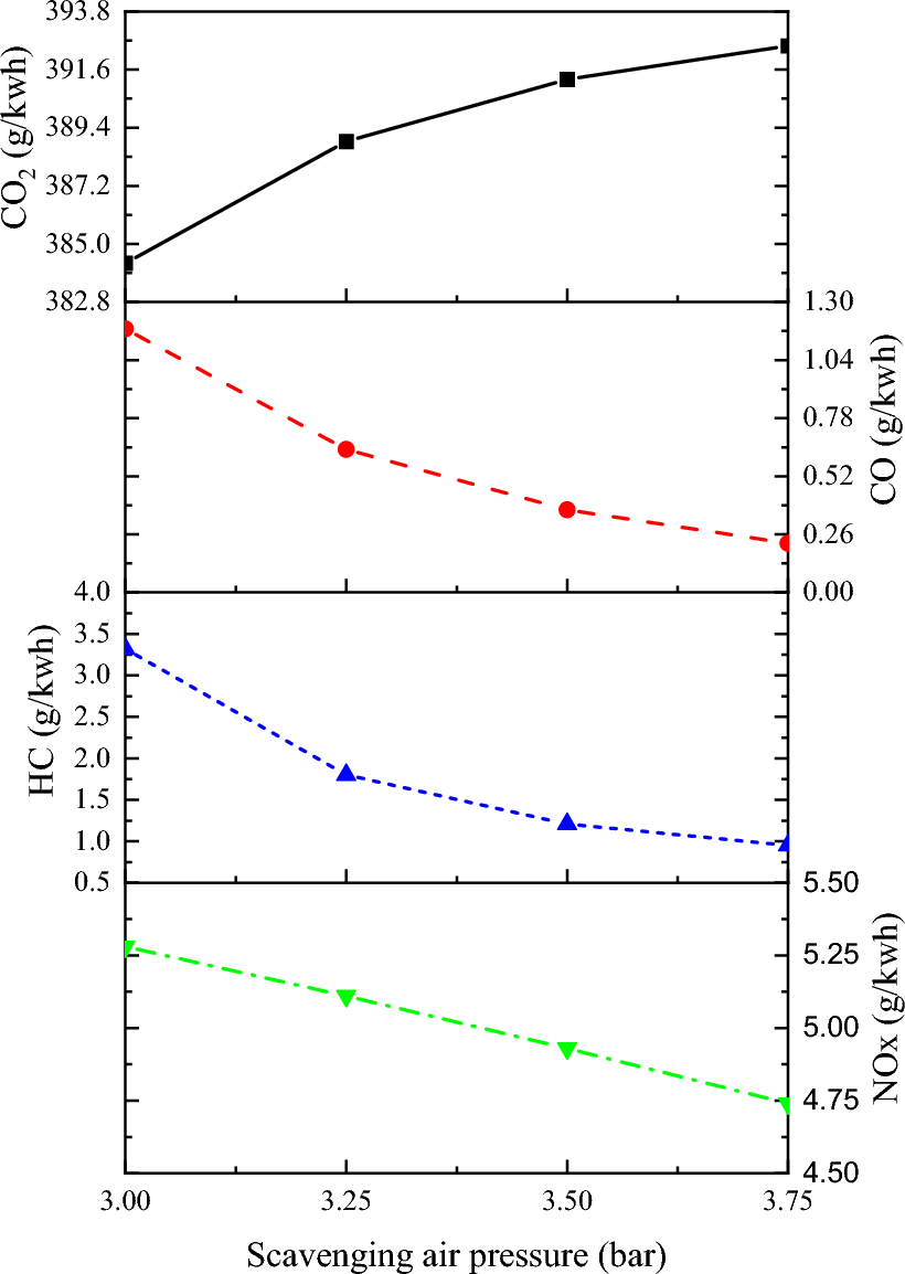
Figure 12 | Scientific Reports