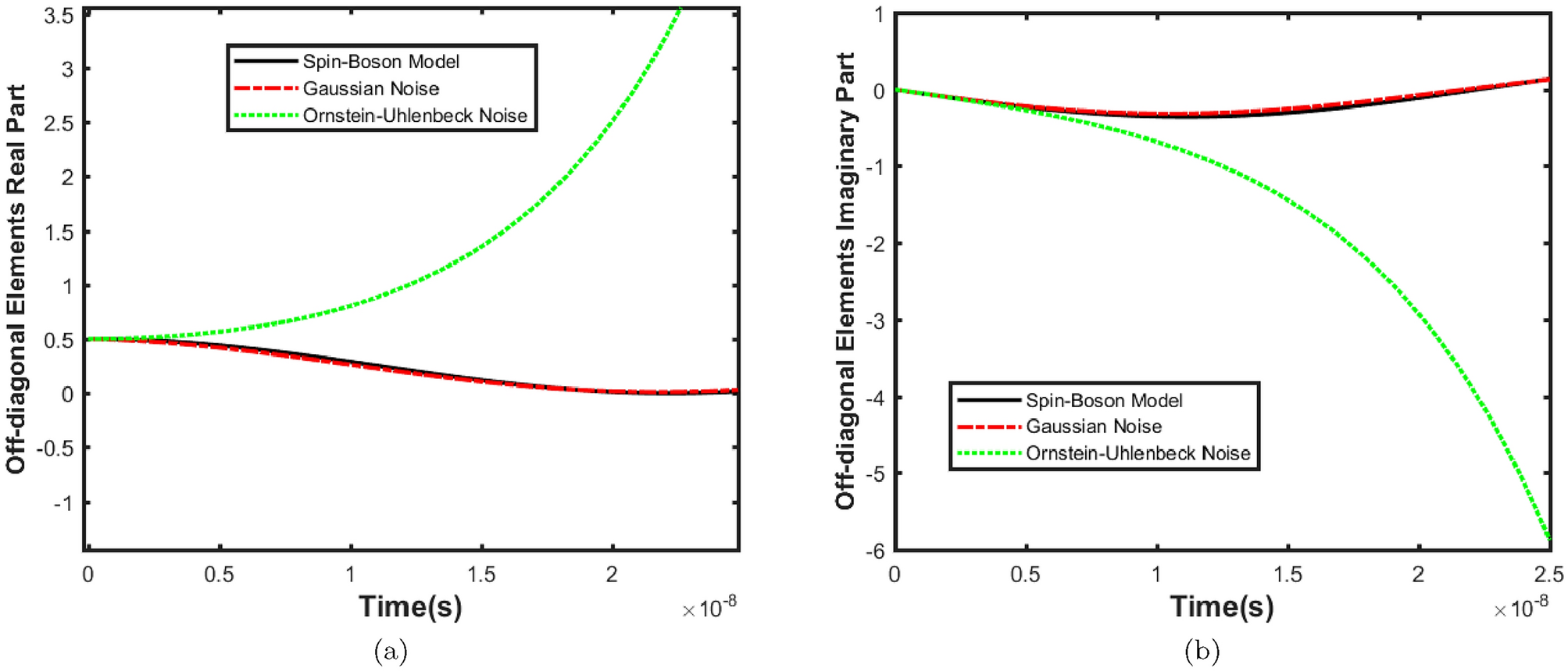
Figure 5
From: Mimicking classical noise in ion channels by quantum decoherence

The evolution of off-diagonal elements of density matrix versus time with \(\gamma =0.5\times 10^{7}s^{-1}\) and \( \Delta _0=1\times 10^{8}s^{-1}\), (a) real parts and (b) imaginary parts.