Figure 9
From: Power regulation of variable speed multi rotor wind systems using fuzzy cascaded control

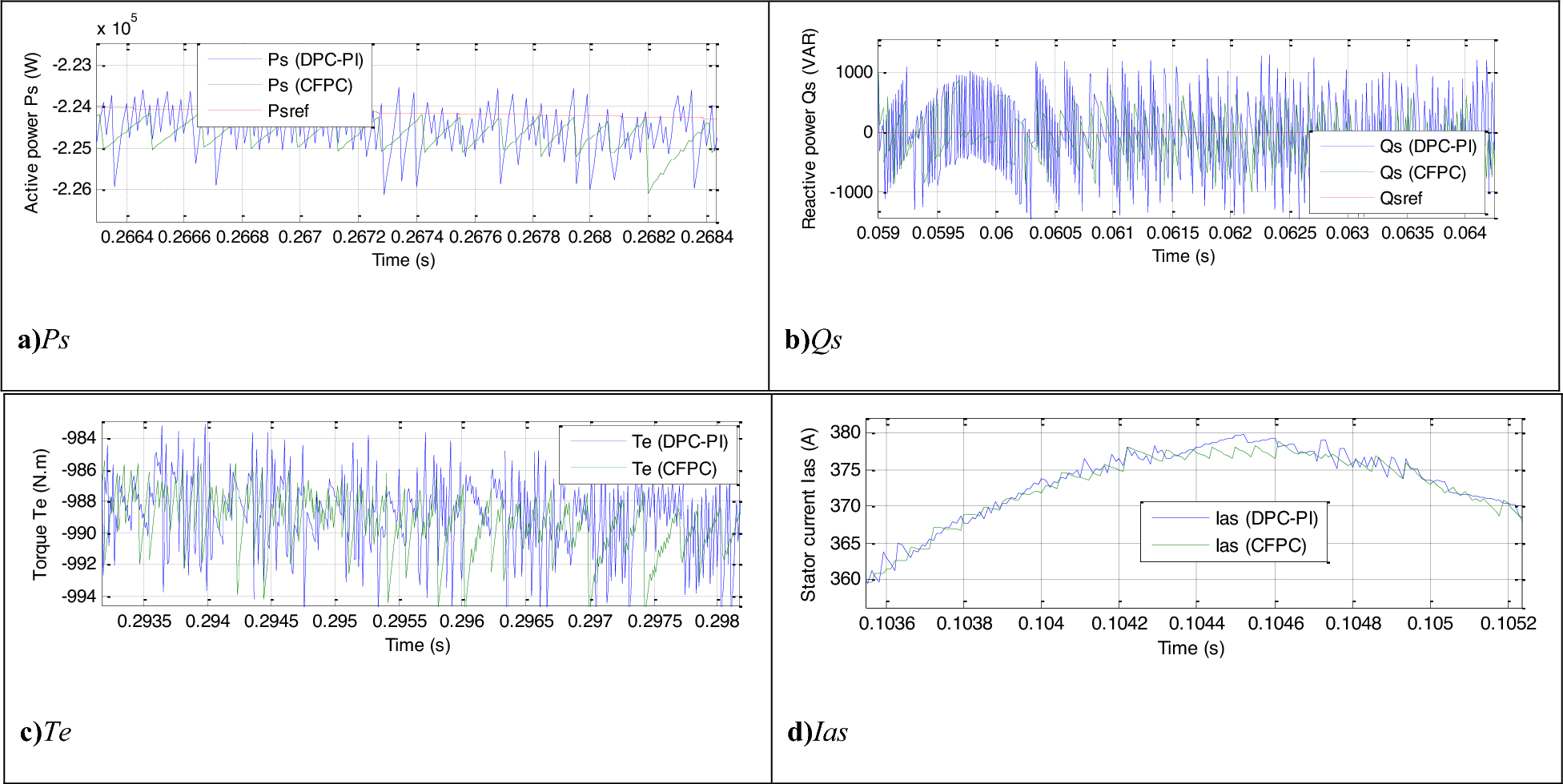
Zoom in the results of the first test.
From: Power regulation of variable speed multi rotor wind systems using fuzzy cascaded control

Zoom in the results of the first test.