Figure 2

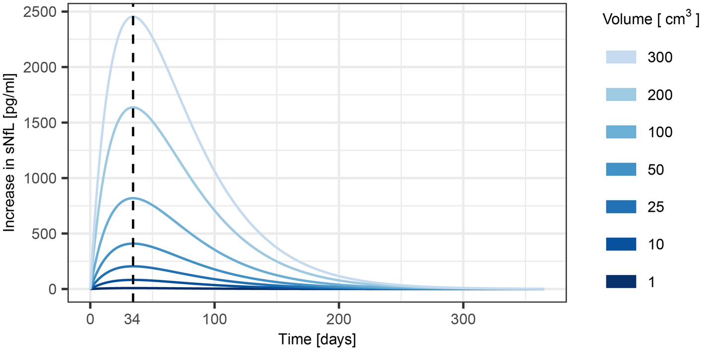
Estimated increases in sNfL concentrations after ischemic stroke with infarcts of different volumes. sNfL, serum neurofilament light chain protein.

Estimated increases in sNfL concentrations after ischemic stroke with infarcts of different volumes. sNfL, serum neurofilament light chain protein.