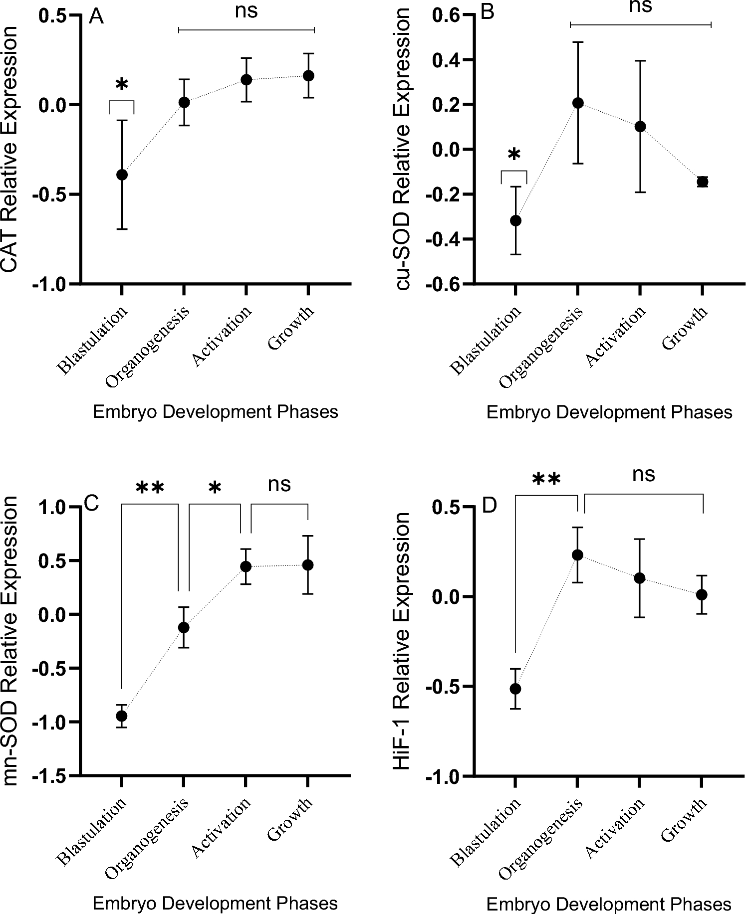
Figure 5

Changes of the relative expression of the catalase (CAT), cupper-superoxide dismutase (cu-SOD), manganese-superoxide dismutase (mn-SOD) and hypoxia-inducible factor 1-alpha (HiF-1) of de Octopus maya embryos development. Values as mean ± SD of the relative expression expressed as Ln. Statistical differences at 0.02 (*) and 0.003 (**) levels. Blastulation: stages VI–VIII; Organogenesis: stages IX–XIII; Activation: stages XIV–XVI; Growth: stages VII–XIX.