Figure 5
From: Novel lignin α-O-4 derived hydrogen donors in CQ-based photoinitiating systems for dental resins

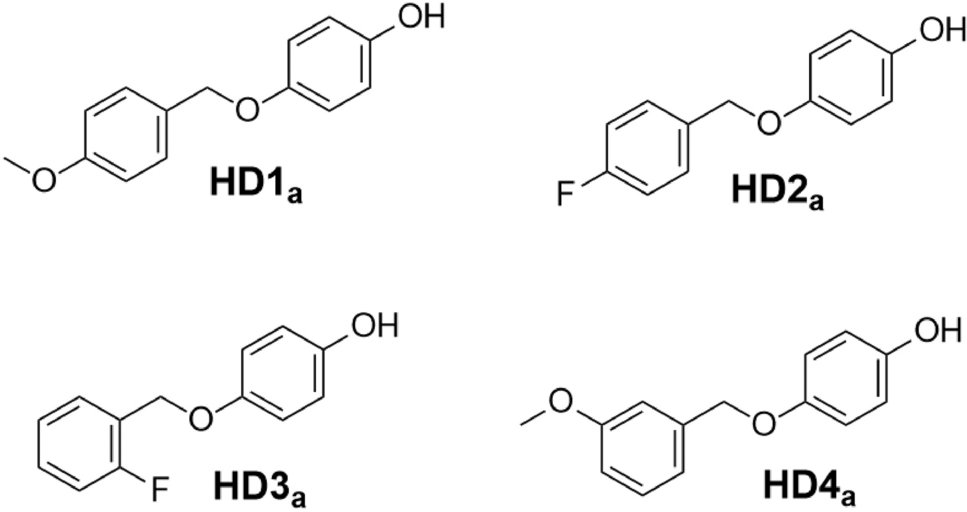
Structural formula of HDsa.
From: Novel lignin α-O-4 derived hydrogen donors in CQ-based photoinitiating systems for dental resins

Structural formula of HDsa.