Figure 11

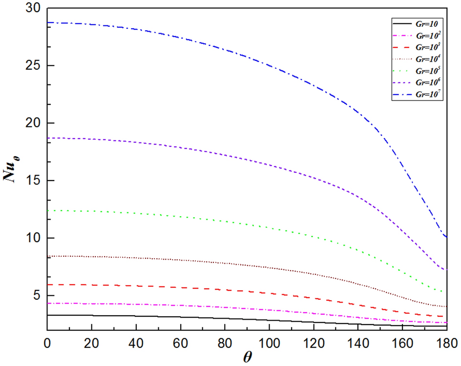
The variation in the local Nusselt number along the surface of the sphere for the Grashof number varied from \(Gr=10\) to \(Gr={10}^{7}\).

The variation in the local Nusselt number along the surface of the sphere for the Grashof number varied from \(Gr=10\) to \(Gr={10}^{7}\).