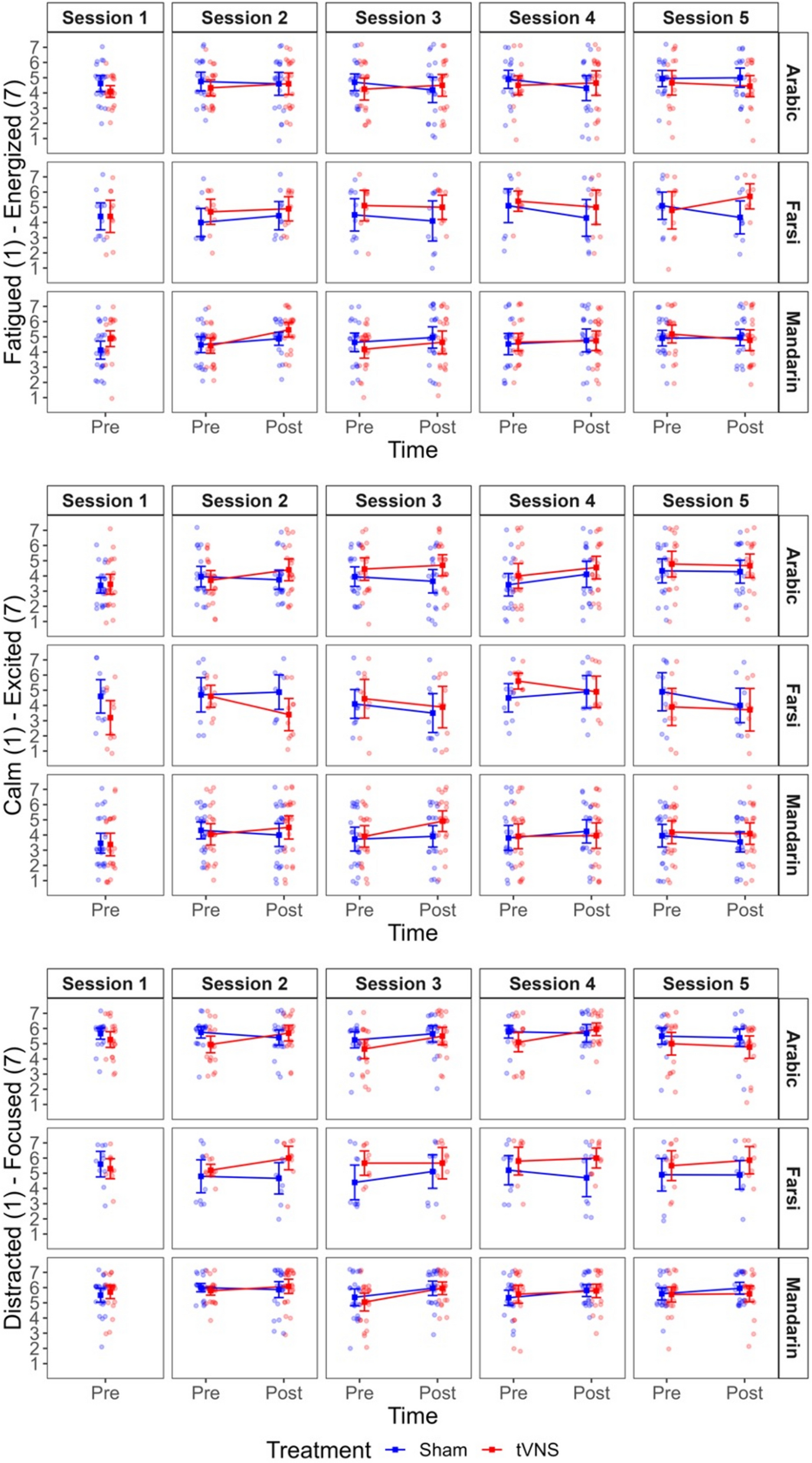
Figure 3

Participants’ ratings on the fatigued/energized, calm/excited, and distracted/focused scales of the Mood Questionnaire in Experiment 1 Mandarin (bottom panel) and Farsi (middle panel) and Experiment 2 Arabic participants (top panel) across 5 sessions (i.e., Day 1 through 5). Note that there was no stimulation on Day 1 and 5, and there was only one measurement on Day 1 as a baseline. The error bars denote a 95% confidence interval about the mean.